图谱信息 供应商 相关产品
网站主页CAS数据库列表 54527-84-3更多图谱盐酸尼卡地平(54527-84-3)红外图谱(IR1)

盐酸尼卡地平

产品名称 盐酸尼卡地平

CAS号54527-84-3

分子式C26H30ClN3O6

分子量515.99

展开


  • Mass

    MS-IW-9317          
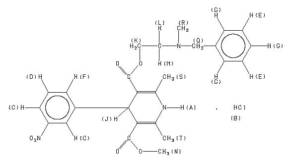
    2-(benzylmethylamino)ethyl methyl 2,6-dimethyl-4-(m-nitrophenyl)-1,4-dihydro-3,5-pyridinedicarboxylate monohydrochloride
    C26H29N3O6 HCl      (Mass of molecular ion:    479)
    

       Source Temperature: 170 °C
       Sample Temperature: 160 °C
       Direct, 75 eV
    

          18.0       2.1
          28.0       2.9
          42.0       4.9
          44.0       1.9
          56.0       2.6
          65.0       3.3
          67.0       2.8
          77.0       1.2
          91.0     100.0
          92.0       8.1
         104.0       1.2
         105.0       2.0
         106.0       1.4
         118.0       1.1
         120.0       5.8
         121.0       1.0
         132.0       3.5
         133.0       1.0
         134.0      98.3
         135.0      10.4
         140.0       1.5
         145.0       1.2
         146.0      25.4
         147.0      78.9
         148.0      26.1
         149.0       2.9
         150.0       1.7
         165.0       5.0
         166.0       1.6
         178.0       1.4
         210.0       4.8
         315.0       2.1
    

400 MHz in DMSO-d6


  • 1H NMR 399.65 MHz
    C26 H29 N3 O6 0.037 g : 0.5 ml DMSO-d6
    2-(benzylmethylamino)ethyl methyl 2,6-dimethyl-4-(m-nitrophenyl)-1,4-dihydro-3,5-pyridinedicarboxylate monohydrochloride
    ChemicalStructure
        Assign.     Shift(ppm)
    A 11.3 B 9.45 C 7.97 D 7.62 E 7.59 F 7.52 G 7.45 J 5.016 K 4.45 L *1 4.33 M *1 4.22 N 3.572 Q 3.35 R 2.58 S *2 2.363 T *2 2.308

         Hz     ppm     Int.
    

       3776.55   9.450    212
       3183.90   7.967    202
       3055.57   7.646     38
       3055.11   7.645     38
       3046.72   7.624     85
       3036.35   7.598    147
       3033.60   7.591    140
       3015.44   7.546     34
       3006.74   7.524     59
       3005.37   7.521     58
       2997.13   7.500     54
       2987.98   7.477     40
       2978.06   7.452    264
       2004.70   5.017    345
       1778.11   4.450    111
       1730.96   4.332     40
       1680.30   4.205     38
       1428.53   3.575    462
       1426.85   3.571    453
       1346.13   3.369     48
       1325.68   3.318     44
       1032.10   2.583    189
        944.67   2.364    587
        922.55   2.309   1000
    

in DMSO-d6



KBr disc



nujol mull