图谱信息 供应商 相关产品
网站主页CAS数据库列表 5460-09-3更多图谱8-氨基-1-萘酚-3,6-二磺酸单钠盐(5460-09-3)红外图谱(IR1)

8-氨基-1-萘酚-3,6-二磺酸单钠盐

产品名称 8-氨基-1-萘酚-3,6-二磺酸单钠盐

CAS号5460-09-3

分子式C10H10NNaO7S2

分子量343.3

展开

400 MHz in DMSO-d6

90 MHz in DMSO-d6


  • 1H NMR 399.65 MHz
    C10 H8 N Na O7 S2 0.027 g : 0.5 ml DMSO-d6
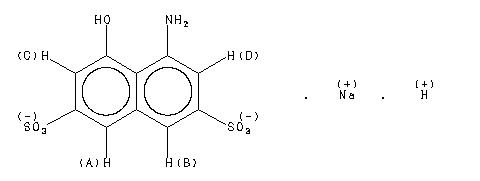
    sodium hydrogen 4-amino-5-hydroxy-2,7-naphthalenedisulfonate
    ChemicalStructure
        Assign.     Shift(ppm)
    A 7.939 B 7.647 C 7.599 D 7.259

         Hz     ppm     Int.
    

       3172.85   7.940    733
       3163.09   7.915     31
       3062.99   7.665     31
       3062.62   7.664     33
       3056.40   7.648    983
       3049.07   7.630     50
       3048.10   7.627     46
       3047.73   7.626     47
       3047.12   7.625     46
       3046.75   7.624     46
       3046.39   7.623     48
       3045.65   7.621     49
       3036.87   7.599    726
       3028.20   7.578     38
       3027.34   7.575     35
       3026.61   7.574     32
       2907.59   7.276     32
       2902.71   7.264    781
       2901.37   7.260   1000
       2894.17   7.242     32
    


  • 1H NMR 89.56 MHz
    C10 H8 N Na O7 S2 0.042 g : 0.5 ml DMSO-d6
    sodium hydrogen 4-amino-5-hydroxy-2,7-naphthalenedisulfonate
    ChemicalStructure
        Assign.     Shift(ppm)
    A 7.998 B 7.67 C 7.290 D 5.7 400MHZ : HSP-42-266 D-PEAK INCLUDES H2O IN DMSO-SOLVENT.

         Hz     ppm     Int.
    

        716.94   8.006    447
        715.88   7.994    491
        686.88   7.670   1000
        685.56   7.655    598
        653.63   7.299    520
        652.25   7.283    498
        511.38   5.710     71
    

in DMSO-d6



KBr disc



nujol mull