400 MHz in CDCl3
-
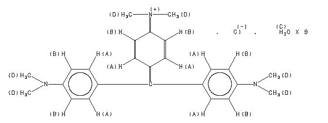
1H NMR 399.65 MHz C25 H30 Cl N3 0.035 g : 0.5 ml CDCl3 gentian violet 
Assign. Shift(ppm)
A 7.333 B 6.864 C 4.9 D 3.291
Hz ppm Int.2938.35 7.353 23 2935.67 7.346 137 2933.59 7.341 38 2928.34 7.328 45 2926.39 7.323 149 2747.68 6.876 145 2745.73 6.871 39 2740.36 6.857 41 2738.40 6.852 129 1956.54 4.896 61 1315.43 3.292 1000
更多供应商






