图谱信息 供应商 相关产品
网站主页CAS数据库列表 5493-45-8更多图谱环己烷-1,2-二羧酸二缩水甘油酯(5493-45-8)核磁图(1HNMR)

环己烷-1,2-二羧酸二缩水甘油酯

产品名称 环己烷-1,2-二羧酸二缩水甘油酯

CAS号5493-45-8

分子式C14H20O6

分子量284.3


  • Mass

    MS-IW-8207          
    bis(oxiranylmethyl) 1,2-cyclohexanedicarboxylate
    C14H20O6            (Mass of molecular ion:    284)
    

       Source Temperature: 160 °C
       Sample Temperature: 120 °C
       Direct, 75 eV
    

          15.0       2.2
          17.0       1.1
          18.0       4.6
          26.0       4.0
          27.0      17.7
          28.0       8.5
          29.0      31.2
          31.0      17.2
          39.0       5.2
          40.0       1.6
          41.0       9.8
          42.0       1.2
          43.0       6.4
          44.0       2.3
          45.0       2.4
          51.0       1.2
          52.0       1.1
          53.0       4.9
          54.0       7.5
          55.0      13.8
          56.0      12.0
          57.0      82.7
          58.0       4.1
          65.0       1.0
          66.0       5.1
          67.0      15.0
          68.0       3.5
          69.0       1.5
          71.0       1.0
          73.0       2.4
          74.0       1.1
          75.0       2.8
          77.0       3.0
          78.0       1.8
          79.0      12.8
          80.0      48.8
          81.0     100.0
          82.0      17.5
          83.0       2.1
          87.0       1.4
          93.0       1.2
          94.0       2.6
          95.0       1.4
          97.0       2.4
          99.0       1.9
         100.0       1.1
         107.0       2.6
         108.0      20.1
         109.0      55.0
         110.0       5.4
         111.0       1.0
         116.0      11.3
         117.0       2.3
         119.0       2.6
         124.0       3.4
         125.0       8.8
         126.0       4.5
         127.0       5.9
         129.0      33.0
         130.0       3.1
         136.0       2.6
         137.0       1.2
         142.0       1.2
         143.0       1.7
         153.0       2.4
         154.0       3.6
         155.0      20.2
         156.0       4.2
         167.0       1.0
         168.0       2.0
         169.0       2.1
         181.0       2.5
         182.0      38.6
         183.0      51.3
         184.0      12.0
         185.0       1.4
         197.0       3.0
         210.0      10.7
         211.0      86.7
         212.0      11.1
         213.0       1.4
         227.0       2.1
         229.0       6.7
         230.0       1.8
         255.0       4.0
         256.0       1.2
         283.0       3.4
         284.0      14.3
         285.0       5.7
    

400 MHz in CDCl3


  • 1H NMR 399.65 MHz
    C14 H20 O6 0.05 ml : 0.5 ml CDCl3
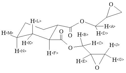
    bis(oxiranylmethyl) 1,2-cyclohexanedicarboxylate
    ChemicalStructure
        Assign.     Shift(ppm)
    A *1 4.46 B *1 4.43 C *1 3.932 D *1 3.896 E 3.20 F 2.91 G 2.824 J 2.642 K 2.02 L 1.805 M 1.529 N 1.438 ASSIGNED BY C-H COSY

         Hz     ppm     Int.
    

       1786.99   4.472    257
       1784.06   4.465    324
       1783.20   4.462    346
       1782.10   4.460    351
       1781.01   4.457    376
       1780.27   4.455    374
       1779.17   4.452    346
       1778.08   4.450    317
       1774.78   4.441    300
       1771.73   4.434    356
       1771.00   4.432    384
       1769.78   4.429    384
       1768.68   4.426    410
       1767.94   4.424    417
       1766.97   4.422    385
       1765.75   4.419    353
       1579.96   3.954    275
       1578.25   3.950    283
       1573.73   3.938    310
       1572.14   3.934    494
       1567.75   3.923    514
       1566.04   3.919    538
       1561.40   3.907    533
       1559.94   3.904    493
       1555.54   3.893    273
       1553.71   3.888    291
       1549.07   3.877    267
       1287.48   3.222    115
       1284.91   3.216    250
       1282.35   3.209    412
       1280.64   3.205    426
       1278.32   3.199    549
       1275.88   3.193    502
       1274.54   3.190    382
       1273.32   3.187    355
       1272.09   3.184    334
       1270.39   3.179    171
       1269.41   3.177    185
       1173.71   2.937    149
       1169.31   2.926    224
       1165.53   2.917    296
       1165.28   2.916    296
       1161.99   2.908    319
       1156.37   2.894    231
       1151.61   2.882    158
       1146.97   2.870     97
       1134.16   2.838    405
       1133.54   2.837    453
       1132.57   2.834    607
       1129.39   2.826    798
       1128.54   2.824    961
       1127.81   2.822    841
       1125.12   2.816    465
       1124.51   2.814    499
       1123.54   2.812    644
       1061.16   2.656    350
       1058.96   2.650    923
       1056.40   2.644   1000
       1054.08   2.638    845
       1051.51   2.632    718
        819.46   2.051    141
        814.09   2.038    201
        812.99   2.035    196
        811.16   2.030    210
        810.79   2.029    210
        808.84   2.024    215
        806.52   2.019    244
        802.12   2.008    237
        801.76   2.007    237
        798.58   1.999    203
        798.22   1.998    203
        790.41   1.978     92
        734.13   1.837    179
        730.10   1.827    249
        726.20   1.818    267
        721.44   1.806    272
        717.04   1.795    228
        712.65   1.784    202
        708.86   1.774    160
        625.37   1.565    131
        621.70   1.556    183
        617.80   1.546    218
        613.89   1.537    235
        613.40   1.535    235
        611.82   1.531    237
        607.67   1.521    253
        607.42   1.520    253
        603.88   1.512    212
        599.49   1.501    162
        595.21   1.490    107
        585.82   1.466    183
        585.57   1.466    183
        583.98   1.462    175
        577.88   1.446    267
        573.73   1.436    263
        567.87   1.421    216
        565.55   1.416    198
    

in CDCl3



liquid film