图谱信息 供应商 相关产品
网站主页CAS数据库列表 54978-55-1更多图谱1,4-二羟基-2-萘甲酸苯酯(54978-55-1)质谱(MS)

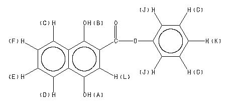
1,4-二羟基-2-萘甲酸苯酯

产品名称 1,4-二羟基-2-萘甲酸苯酯

CAS号54978-55-1

分子式C17H12O4

分子量280.27

展开


  • Mass

    MS-IW-6663          
    phenyl 1,4-dihydroxy-2-naphthoate
    C17H12O4            (Mass of molecular ion:    280)
    

       Source Temperature: 140 °C
       Sample Temperature: 130 °C
       Direct, 75 eV
    

          17.0       1.7
          18.0       8.6
          39.0       3.9
          40.0       1.7
          47.0       1.1
          50.0       1.5
          51.0       3.1
          53.0       1.6
          55.0       1.6
          63.0       1.6
          65.0       4.7
          66.0       5.2
          75.0       1.9
          76.0       2.8
          77.0       7.5
          94.0      33.1
          95.0       2.3
         101.0       2.3
         102.0      10.5
         103.0       8.0
         104.0       1.1
         105.0       4.8
         129.0       1.6
         130.0      11.6
         131.0      10.5
         132.0       1.0
         157.0       2.4
         158.0       8.2
         159.0       8.2
         185.0       2.8
         186.0     100.0
         187.0      99.1
         188.0      12.1
         189.0       1.2
         279.0       1.3
         280.0      72.4
         281.0      13.7
         282.0       1.7
    

400 MHz in DMSO-d6


  • 1H NMR 399.65 MHz
    C17 H12 O4 0.039 g : 0.5 ml DMSO-d6
    phenyl 1,4-dihydroxy-2-naphthoate
    ChemicalStructure
        Assign.     Shift(ppm)
    A *1 11.6 B *1 10.0 C 8.322 D 8.203 E 7.739 F 7.655 G 7.525 J 7.38 K 7.37 L 7.344

         Hz     ppm     Int.
    

       4420.91  11.062   1000
       4004.94  10.022    633
       3330.33   8.334    225
       3322.64   8.314    241
       3322.09   8.313    230
       3282.89   8.215    222
       3274.83   8.195    248
       3101.74   7.762    117
       3100.46   7.758    128
       3094.78   7.744    190
       3093.50   7.741    252
       3092.03   7.737    135
       3086.54   7.724    172
       3085.07   7.720    167
       3067.12   7.675    159
       3065.84   7.672    169
       3060.35   7.658    131
       3058.88   7.654    238
       3057.60   7.651    174
       3051.92   7.637    113
       3050.82   7.634    109
       3016.02   7.547    218
       3014.19   7.543     98
       3011.44   7.536     59
       3009.24   7.530    339
       3008.33   7.528    311
       3007.41   7.526    432
       3002.83   7.514    120
       3000.45   7.508    407
       2998.25   7.503     66
       2954.48   7.393    769
       2952.09   7.387    196
       2946.78   7.374    666
       2943.12   7.365     64
       2940.01   7.357    100
       2938.91   7.354    150
       2937.81   7.351    104
       2935.24   7.345    944
    

in DMSO-d6



KBr disc



nujol mull