图谱信息 供应商 相关产品
网站主页CAS数据库列表 55-06-1更多图谱三碘代甲状腺素钠盐(55-06-1)核磁图(13CNMR)

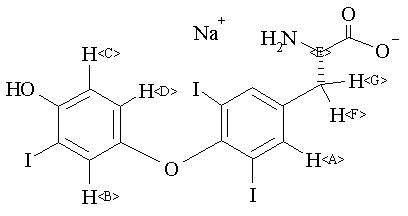
三碘代甲状腺素钠盐

产品名称 三碘代甲状腺素钠盐

CAS号55-06-1

分子式C15H11I3NNaO4

分子量672.96

展开

400 MHz in DMSO-d6


  • 1H NMR 399.65 MHz
    C15 H11 I3 N Na O4 0.029 g : 0.5 ml DMSO-d6
    sodium O(4)-(4-hydroxy-3-iodophenyl)-3,5-diiodo-L-tyrosinate
    ChemicalStructure
        Assign.     Shift(ppm)
    A 7.794 B 6.969 C 6.841 D 6.536 E 3.218 F *1 2.98 G *1 2.558

         Hz     ppm     Int.
    

       3114.99   7.795   1000
       3110.35   7.783     46
       3109.01   7.780     41
       3107.67   7.776     33
       2786.74   6.973    351
       2783.69   6.966    355
       2742.55   6.863     36
       2739.01   6.854    189
       2733.64   6.841     46
       2730.10   6.832    230
       2617.80   6.551    141
       2614.87   6.543    132
       2609.01   6.529    128
       2605.96   6.521    126
       1290.28   3.229     86
       1281.86   3.208     78
       1198.36   2.999     62
       1187.74   2.972     72
       1034.91   2.590     53
       1034.55   2.589     54
       1025.51   2.567     62
       1025.15   2.566     61
       1023.68   2.562     55
       1022.71   2.560     56
       1021.61   2.557     60
       1021.00   2.555     59
       1012.82   2.535     52
       1012.21   2.533     52
       1010.62   2.529     44
    

in DMSO-d6



KBr disc