图谱信息 供应商 相关产品
网站主页CAS数据库列表 550-99-2更多图谱盐酸萘甲唑啉(550-99-2)Raman光谱

盐酸萘甲唑啉

产品名称 盐酸萘甲唑啉

CAS号550-99-2

分子式C14H14N2.ClH

分子量246.74

展开


  • Mass

    MS-IW-2151          
    2-(1-naphthylmethyl)-2-imidazoline hydrochloride
    C14H14N2 HCl        (Mass of molecular ion:    210)
    

       Source Temperature: 140 °C
       Sample Temperature: 100 °C
       Direct, 75 eV
    

          36.0       9.3
          38.0       3.0
          42.0       1.1
          63.0       1.6
          76.0       2.3
          76.5       1.3
          77.0       1.5
          81.0       2.5
          89.0       1.2
          90.0       1.7
          90.5       1.3
          91.0       1.2
         104.0       1.8
         104.5       1.7
         105.0       3.1
         115.0       8.9
         127.0       1.6
         128.0       1.2
         139.0       4.9
         140.0       2.4
         141.0      19.7
         142.0       2.5
         151.0       1.4
         152.0       6.1
         153.0       8.3
         154.0       2.2
         165.0       1.3
         166.0       4.4
         167.0       3.1
         168.0       1.4
         180.0       4.5
         181.0       6.9
         182.0       1.8
         195.0       6.8
         196.0       1.0
         206.0       1.1
         207.0       2.6
         208.0      11.9
         209.0     100.0
         210.0      46.5
         211.0       6.2
    

400 MHz in DMSO-d6


  • 1H NMR 399.65 MHz
    C14 H14 N2 saturated in DMSO-d6
    2-(1-naphthylmethyl)-2-imidazoline hydrochloride
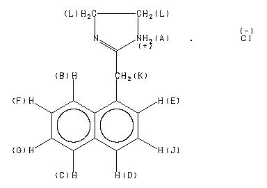
    ChemicalStructure
        Assign.     Shift(ppm)
    A 10.44 B 8.127 C 8.003 D 7.952 E 7.63 F *1 7.62 G *1 7.60 J 7.537 K 4.428 L 3.823 ASSIGNED BY H-H AND C-H COSY.

         Hz     ppm     Int.
    

       4173.27  10.443     58
       3252.49   8.139     85
       3244.43   8.119     92
       3203.40   8.016     85
       3195.89   7.997    106
       3194.06   7.993     94
       3182.15   7.963    103
       3174.09   7.943    113
       3054.30   7.643    126
       3047.34   7.626    205
       3041.48   7.611    171
       3039.65   7.606    152
       3033.79   7.592     87
       3032.50   7.588     94
       3026.83   7.574     39
       3025.54   7.571     33
       3018.95   7.554    115
       3011.62   7.536    107
       3010.71   7.534    125
       3003.56   7.516     77
       1769.94   4.429    402
       1527.97   3.824   1000
    

in DMSO-d6



KBr disc



nujol mull