产品名称 三(2-呋喃基)膦
CAS号5518-52-5
分子式C12H9O3P
分子量232.17
InChIInChI=1S/C12H9O3P/c1-4-10(13-7-1)16(11-5-2-8-14-11)12-6-3-9-15-12/h1-9H
InChIKeyDLQYXUGCCKQSRJ-UHFFFAOYSA-N
SmilesP(C1=CC=CO1)(C1=CC=CO1)C1=CC=CO1
展开 收起
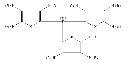
Parameter ppm Hz D(A) 7.452 D(B) 6.255 D(C) 6.629 J(A,B) 1.727 J(A,C) 0.753 J(A,X) 0.653 J(B,C) 3.269 J(B,X) 1.497 J(C,X) 1.531 JAKOBSEN,H.J. & NIELSEN,J.AA. J.MOL.SPECTROSC. 33, 474 (1970)
更多供应商
三(2-呋喃基)膦(5518-52-5)核磁图(1HNMR) 相关产品图谱