图谱信息 供应商 相关产品
网站主页CAS数据库列表 552-94-3更多图谱双水杨酸酯(552-94-3)红外图谱(IR1)

双水杨酸酯

产品名称 双水杨酸酯

CAS号552-94-3

分子式C14H10O5

分子量258.23

展开



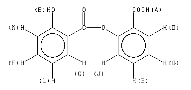
  •     Assign.     Shift(ppm)
    A *1 10.73 B *1 10.25 C *2 8.12 D *2 8.05 E *3 7.63 F *3 7.50 G *4 7.37 J *5 7.25 K *5 7.01 L *4 6.91
    Spectral Code: 1H NMR : 90 MHz in CDCl3



  •        ppm   Int.  Assign.
    169.76 756 1 168.76 577 2 161.96 1000 3 150.45 870 4 136.42 764 5 134.91 715 6 132.74 756 7 130.73 780 8 126.61 732 9 124.07 699 10 122.48 707 11 119.53 756 12 117.69 748 13 111.93 748 14
    Spectral Code: 13C NMR : in CDCl3


  • Spectral Code: IR : KBr disc


  • Spectral Code: Raman : 4880 A,200 M,powder