400 MHz in D2O
400 MHz in DMSO-d6
-
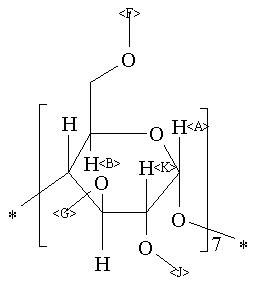
1H NMR 399.65 MHz C63 H112 O35 0.032 g : 0.5 ml D2O trimethyl-beta-cyclodextrin 
Assign. Shift(ppm)
A 5.221 B 3.82 C 3.80 D 3.69 E 3.62 F *1 3.576 G *1 3.471 J *1 3.344 K 3.285 The solvent signal removed. partially assigned. J(A,K)=3.5 Hz
Hz ppm Int.2088.62 5.227 123 2085.08 5.218 119 1533.69 3.838 36 1533.45 3.837 36 1529.66 3.828 74 1525.76 3.818 76 1521.00 3.806 79 1517.94 3.799 112 1513.79 3.788 42 1513.43 3.787 42 1513.06 3.786 42 1481.69 3.708 46 1472.90 3.686 81 1463.75 3.663 56 1450.07 3.629 113 1440.31 3.604 141 1429.32 3.577 884 1387.45 3.472 969 1336.55 3.345 1000 1319.09 3.301 81 1315.55 3.292 75 1309.33 3.277 66 1305.79 3.268 68
-
1H NMR 399.65 MHz C63 H112 O35 0.039 g : 0.5 ml DMSO-d6 trimethyl-beta-cyclodextrin 
Assign. Shift(ppm)
A 5.037 B 3.71 C 3.50 D *1 3.495 E 3.44 F *1 3.392 G 3.36 J *1 3.242 K 3.065
Hz ppm Int.2014.89 5.042 179 2011.72 5.034 172 1495.61 3.743 57 1491.21 3.732 116 1485.23 3.717 164 1478.76 3.701 151 1405.27 3.517 150 1397.09 3.496 989 1384.89 3.466 82 1376.10 3.444 127 1366.58 3.420 93 1355.71 3.393 958 1342.29 3.359 105 1333.01 3.336 150 1324.10 3.314 82 1295.90 3.243 1000 1230.96 3.081 111 1227.78 3.073 103 1221.44 3.057 93 1218.26 3.049 85
更多供应商





