-
MS-NW-7789 O-acetoxybenzoyl chloride C9H7ClO3 (Mass of molecular ion: 198)
Source Temperature: 250 °C Sample Temperature: 150 °C Reservoir, 75 eV
14.0 2.2 15.0 6.9 28.0 1.5 36.0 2.2 37.0 3.0 38.0 7.7 39.0 7.2 42.0 3.8 43.0 39.4 50.0 5.0 51.0 1.5 53.0 3.3 61.0 1.9 62.0 4.3 63.0 17.4 64.0 17.5 65.0 10.0 66.0 1.2 73.0 1.8 74.0 1.8 75.0 2.0 76.0 1.8 77.0 1.1 92.0 50.7 93.0 9.8 94.0 1.1 99.0 2.1 120.0 100.0 121.0 60.3 122.0 5.0 156.0 9.0 158.0 3.2 162.0 9.3 163.0 6.0 198.0 1.0
400 MHz in CDCl3
-
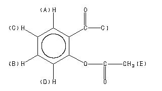
1H NMR 399.65 MHz C9 H7 Cl O3 0.05 ml : 0.5 ml CDCl3 o-acetoxybenzoyl chloride 
Assign. Shift(ppm)
A 8.206 B 7.649 C 7.381 D 7.145 E 2.324
Hz ppm Int.3284.42 8.219 100 3282.84 8.215 113 3276.49 8.199 109 3274.78 8.195 117 3066.04 7.672 58 3064.45 7.668 58 3058.23 7.653 85 3056.88 7.649 87 3056.52 7.648 83 3050.54 7.634 75 3048.83 7.629 71 2958.13 7.402 67 2956.91 7.399 76 2950.07 7.382 93 2949.34 7.380 104 2942.63 7.364 60 2941.41 7.360 65 2860.11 7.157 112 2858.89 7.154 119 2852.05 7.137 107 2850.83 7.134 113 932.13 2.333 40 928.83 2.325 1000
更多供应商




