图谱信息 供应商 相关产品
网站主页CAS数据库列表 554-91-6更多图谱龙胆二糖(554-91-6)红外图谱(IR1)

龙胆二糖

产品名称 龙胆二糖

CAS号554-91-6

分子式C12H22O11

分子量342.3

展开

400 MHz in D2O


  • 1H NMR 399.65 MHz
    C12 H22 O11 0.035 g : 0.5 ml D2O
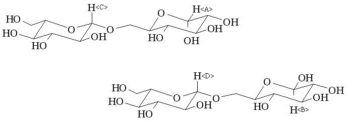
    D-gentiobiose
    ChemicalStructure
        Assign.     Shift(ppm)
    A 5.234 B 4.660 C 4.518 D 4.50 MIXTURE OF ANOMERS. PARTIALLY ASSIGNED BY C-H COSY.

         Hz     ppm     Int.
    

       2093.87   5.240    116
       2090.09   5.230    116
       1866.70   4.671    443
       1858.76   4.651    466
       1809.81   4.529    432
       1805.91   4.519     44
       1802.00   4.509    499
       1794.92   4.492    123
       1688.96   4.227    200
       1687.38   4.223    223
       1677.61   4.198    249
       1675.90   4.194    253
       1666.99   4.172     59
       1665.28   4.167     66
       1655.76   4.144     65
       1653.81   4.139     69
       1601.93   4.009     34
       1598.88   4.001     41
       1597.29   3.997     37
       1596.92   3.996     37
       1593.63   3.988     35
       1591.92   3.984     37
       1588.62   3.976     48
       1587.28   3.972     46
       1577.03   3.947    202
       1575.07   3.942    255
       1570.80   3.931     35
       1564.58   3.915    315
       1562.99   3.911    372
       1558.84   3.901     85
       1554.32   3.890     35
       1552.12   3.884     77
       1547.97   3.874    217
       1542.11   3.859    220
       1538.82   3.851     53
       1536.50   3.845    175
       1530.76   3.831    191
       1500.49   3.755    260
       1497.07   3.746    112
       1494.63   3.740    296
       1487.92   3.724    306
       1482.30   3.709    228
       1478.27   3.699     94
       1459.84   3.653    114
       1452.76   3.636    169
       1450.68   3.630    153
       1446.53   3.620    125
       1444.70   3.615    109
       1423.46   3.562     93
       1419.56   3.553     83
       1413.57   3.538     97
       1411.01   3.531    272
       1408.08   3.524    137
       1401.98   3.509    611
       1398.93   3.501    474
       1395.26   3.492    404
       1392.58   3.485   1000
       1385.86   3.468    500
       1381.23   3.457    238
       1379.15   3.451    232
       1377.20   3.447    166
       1366.82   3.421    464
       1361.82   3.408     42
       1357.67   3.398    417
       1348.14   3.374    165
       1337.77   3.348    278
       1335.57   3.342    120
       1329.71   3.328    326
       1328.61   3.325    312
       1323.12   3.311     46
       1320.43   3.304    215
       1318.12   3.299    102
       1311.52   3.282    195
       1306.76   3.270     47
       1303.47   3.262    271
       1302.98   3.261    266
       1296.88   3.246     73
       1294.68   3.240    152
    

in D2O



KBr disc



nujol mull