图谱信息 供应商 相关产品
网站主页CAS数据库列表 55418-52-5更多图谱4-(1,3-苯二酚-5-基)-2-丁酮;2-丁酮(55418-52-5)红外图谱(IR2)

4-(1,3-苯二酚-5-基)-2-丁酮;2-丁酮

产品名称 4-(1,3-苯二酚-5-基)-2-丁酮;2-丁酮

CAS号55418-52-5

分子式C11H12O3

分子量192.21

展开


  • Mass

    MS-IW-1754          
    4-(3,4-methylenedioxyphenyl)-2-butanone
    C11H12O3            (Mass of molecular ion:    192)
    

       Source Temperature: 220 °C
       Sample Temperature: 160 °C
       Reservoir, 75 eV
    

          39.0       3.4
          43.0      14.3
          50.0       1.5
          51.0       6.3
          53.0       1.3
          62.0       1.4
          63.0       4.1
          64.0       1.2
          65.0       6.1
          74.0       1.1
          77.0      10.7
          78.0       1.3
          79.0       2.8
          89.0       3.4
          91.0      12.5
          92.0       1.3
         105.0       5.3
         119.0      21.7
         120.0       2.7
         121.0       2.0
         122.0       5.7
         135.0     100.0
         136.0       9.0
         147.0       4.8
         148.0       2.3
         149.0      23.6
         150.0       2.4
         177.0       3.1
         191.0       1.3
         192.0      60.8
         193.0       7.5
    

400 MHz in CDCl3


  • 1H NMR 399.65 MHz
    C11 H12 O3 0.052 g : 0.5 ml CDCl3
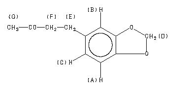
    4-(3,4-methylenedioxyphenyl)-2-butanone
    ChemicalStructure
        Assign.     Shift(ppm)
    A 6.709 B 6.666 C 6.622 D 5.902 E 2.800 F 2.710 G 2.127

         Hz     ppm     Int.
    

       2686.16   6.722    164
       2678.34   6.702    245
       2665.04   6.669    179
       2663.33   6.665    211
       2650.51   6.633    126
       2648.80   6.628    113
       2642.58   6.613     81
       2640.87   6.608     76
       2359.01   5.903    970
       1128.66   2.825     62
       1127.32   2.821     71
       1120.24   2.804    173
       1115.84   2.793     36
       1113.65   2.787    175
       1111.57   2.782     92
       1090.58   2.729     97
       1088.50   2.724    187
       1086.30   2.719     35
       1085.82   2.717     36
       1081.79   2.707    183
       1074.95   2.690     68
       1073.36   2.686     65
        850.22   2.128   1000
    

in CDCl3



KBr disc



nujol mull