图谱信息 供应商 相关产品
网站主页CAS数据库列表 5550-12-9更多图谱5'-鸟苷酸二钠(5550-12-9)红外图谱(IR1)

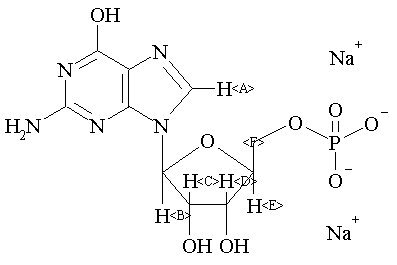
5'-鸟苷酸二钠

产品名称 5'-鸟苷酸二钠

CAS号5550-12-9

分子式C10H15N5NaO8P

分子量387.22

展开



  •     Assign.     Shift(ppm)
    A 8.191 B 5.909 C 4.745 D 4.514 E 4.346 F 4.03 THE SOLVENT PEAK SUPPRESSED. J(B,C)=5.5 HZ
    Spectral Code: 1H NMR : 400 MHz in D2O



  •        ppm   Int.  Assign.
    159.55 166 1 154.57 241 2 152.21 301 3 138.32 498 4 116.91 216 5 87.53 667 6 85.10 460 P 7 84.93 439 P 7 74.54 1000 8 71.23 844 9 64.32 330 P 10 64.23 458 P 10
    Spectral Code: 13C NMR : in CDCl3

KBr disc



nujol mull