-
MS-IW-0023 4-indolyl acetate C10H9NO2 (Mass of molecular ion: 175)
Source Temperature: 130 °C Sample Temperature: 100 °C Direct, 75 eV
28.0 1.5 43.0 5.2 50.0 1.9 51.0 3.8 52.0 1.3 76.0 2.0 77.0 5.2 78.0 4.2 79.0 1.5 104.0 12.6 105.0 17.6 106.0 1.6 132.0 7.0 133.0 100.0 134.0 9.3 175.0 34.0 176.0 3.9
400 MHz in CDCl3
-
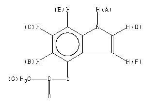
1H NMR 399.65 MHz C10 H9 N O2 0.036 g : 0.5 ml CDCl3 4-indolyl acetate 
Assign. Shift(ppm)
A 8.26 B 7.11 C 7.10 D 6.965 E 6.837 F 6.362 G 2.372 CONFIRMED BY LAOCN PROGRAM
Hz ppm Int.2842.16 7.112 261 2838.87 7.104 124 2838.13 7.102 132 2837.04 7.099 167 2786.38 6.973 86 2783.94 6.966 97 2783.20 6.965 101 2780.76 6.958 87 2736.33 6.847 116 2732.54 6.838 73 2731.45 6.835 66 2727.78 6.826 97 2545.65 6.370 58 2545.17 6.369 60 2543.58 6.365 64 2542.97 6.363 73 2542.60 6.363 72 2541.87 6.361 61 2540.41 6.357 57 2539.79 6.356 54 951.42 2.381 31 948.24 2.373 1000
更多供应商






