图谱信息 供应商 相关产品
网站主页CAS数据库列表 56-49-5更多图谱3-甲基胆蒽(56-49-5)核磁图(1HNMR)

3-甲基胆蒽

产品名称 3-甲基胆蒽

CAS号56-49-5

分子式C21H16

分子量268.35

展开


  • Mass

    MS-NW-2406          
    3-methyl-1,2-dihydrobenz(j)aceanthrylene
    C21H16              (Mass of molecular ion:    268)
    

       Source Temperature: 240 °C
       Sample Temperature: 180 °C
       Direct, 75 eV
    

          17.0       1.2
          18.0       6.5
          28.0       1.7
          87.0       1.1
         105.5       1.0
         106.5       1.9
         112.0       1.6
         113.0       3.9
         117.5       1.0
         118.0       1.2
         118.5       3.4
         119.0       1.8
         119.5       4.3
         120.0       1.8
         124.0       1.1
         125.0       5.1
         125.5       1.9
         126.0      12.3
         126.5       7.1
         127.0       1.2
         130.5       2.4
         131.0       1.9
         131.5       6.9
         132.0       3.4
         132.5       6.3
         133.0       7.6
         133.5       2.2
         134.0       7.6
         134.5       1.8
         224.0       1.1
         226.0       1.5
         237.0       1.8
         239.0       3.5
         250.0       4.4
         251.0       2.2
         252.0      23.9
         253.0      22.0
         254.0       4.6
         261.0       1.6
         262.0       1.1
         263.0       7.1
         264.0       2.8
         265.0      17.4
         266.0      32.9
         267.0      27.5
         268.0     100.0
         269.0      22.4
         270.0       2.6
         282.0       4.2
         283.0       1.0
    

400 MHz in CDCl3


  • 1H NMR 399.65 MHz
    C21 H16 14.9 mg : 0.5 ml CDCl3
    3-methyl-1,2-dihydrobenz(j)aceanthrylene
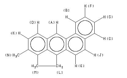
    ChemicalStructure
        Assign.     Shift(ppm)
    A 8.886 B 8.785 C 7.807 D 7.74 E 7.72 F 7.624 G 7.56 J 7.559 K 7.330 L *1 3.655 M *1 3.376 N 2.418 J(C,G)=7.7HZ. J(C,F)=1.6HZ. CONFIRMED BY LAOCN PROGRAM.

         Hz     ppm     Int.
    

       3551.76   8.888    254
       3551.39   8.887    254
       3515.38   8.797    142
       3514.89   8.795    141
       3507.20   8.776    149
       3506.71   8.775    150
       3125.00   7.820    139
       3123.41   7.816    141
       3117.31   7.801    165
       3115.72   7.797    173
       3097.17   7.750    168
       3087.65   7.726    290
       3084.11   7.718     35
       3083.74   7.717     34
       3078.49   7.703    258
       3077.88   7.702    256
       3075.44   7.696     32
       3074.95   7.695     33
       3056.27   7.648     79
       3054.81   7.644     92
       3049.19   7.630    143
       3047.85   7.627    169
       3046.63   7.624    100
       3041.14   7.610    145
       3039.55   7.606    135
       3028.56   7.579    172
       3027.22   7.575    190
       3024.90   7.569    272
       3021.48   7.561    156
       3020.87   7.559    200
       3020.14   7.557    174
       3019.65   7.556    186
       3015.87   7.547    212
       3013.79   7.542    126
       3012.57   7.539    111
       2933.35   7.340    254
       2924.93   7.319    232
       1467.53   3.673    139
       1467.29   3.672    139
       1461.55   3.658    165
       1458.86   3.651    120
       1458.37   3.650    121
       1455.57   3.643    180
       1355.35   3.392    154
       1354.49   3.390    139
       1352.54   3.385    110
       1352.05   3.384    114
       1351.68   3.383    114
       1350.59   3.380    129
       1349.37   3.377    147
       1348.63   3.375    152
       1345.46   3.367     99
       1343.75   3.363    122
       1343.14   3.361    122
        966.55   2.419   1000
    

KBr disc



nujol mull