-
MS-NW-2346 (E)-diethylstilbestrol C18H20O2 (Mass of molecular ion: 268)
Source Temperature: 200 °C Sample Temperature: 130 °C Direct, 75 eV
17.0 1.8 18.0 8.7 27.0 4.2 28.0 2.2 29.0 2.6 39.0 6.7 40.0 1.0 41.0 3.3 43.0 1.7 50.0 1.2 51.0 4.6 52.0 1.0 53.0 2.3 55.0 5.8 63.0 3.4 64.0 1.2 65.0 6.4 66.0 1.5 75.0 1.5 76.0 1.7 77.0 12.4 78.0 2.0 79.0 3.9 88.0 1.1 89.0 3.3 91.0 9.9 92.0 1.1 93.0 1.2 94.0 3.6 95.0 1.3 97.0 1.0 101.0 1.7 102.0 1.5 103.0 4.9 104.0 1.1 105.0 5.8 107.0 66.7 108.0 5.1 112.0 1.9 115.0 8.0 116.0 2.6 117.0 3.5 118.0 1.9 119.0 6.8 120.0 1.5 121.0 20.6 122.0 1.7 127.0 5.9 128.0 2.9 129.0 1.6 131.0 7.8 132.0 2.5 133.0 15.6 134.0 7.1 135.0 6.6 139.0 1.2 141.0 3.3 144.0 5.8 145.0 55.5 146.0 8.3 147.0 3.7 151.0 1.2 152.0 3.9 153.0 2.0 155.0 1.1 157.0 1.7 158.0 1.6 159.0 20.7 160.0 2.9 161.0 2.1 165.0 5.0 166.0 1.3 167.0 1.0 173.0 1.5 174.0 3.0 177.0 1.5 178.0 1.8 179.0 1.1 181.0 5.3 182.0 1.9 183.0 1.7 189.0 1.0 193.0 1.0 194.0 2.2 195.0 2.9 196.0 1.3 197.0 1.9 199.0 1.4 207.0 2.1 209.0 1.4 210.0 8.3 211.0 5.5 212.0 1.0 223.0 5.7 224.0 12.7 225.0 3.1 237.0 2.4 238.0 2.4 239.0 56.3 240.0 10.0 241.0 1.1 253.0 12.8 254.0 2.5 266.0 1.1 267.0 2.4 268.0 100.0 269.0 19.1 270.0 2.2
400 MHz in DMSO-d6
-
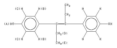
1H NMR 399.65 MHz C18 H20 O2 0.040 g : 0.5 ml DMSO-d6 (E)-diethylstilbestrol 
Assign. Shift(ppm)
A 9.31 B 6.991 C 6.779 D 2.080 E 0.717
Hz ppm Int.3722.53 9.315 967 2799.22 7.005 598 2797.24 7.000 219 2790.68 6.983 729 2788.09 6.977 103 2714.08 6.792 740 2707.37 6.775 241 2705.54 6.770 620 2702.94 6.764 80 842.59 2.109 109 835.27 2.091 344 827.79 2.072 356 820.31 2.053 122 294.04 0.736 461 286.71 0.718 1000 279.24 0.699 443
更多供应商






