图谱信息 供应商 相关产品
网站主页CAS数据库列表 56-54-2更多图谱奎尼丁(56-54-2)质谱(MS)

奎尼丁

产品名称 奎尼丁

CAS号56-54-2

分子式C20H24N2O2

分子量324.42

展开


  • Mass

    MS-NW-5968          
    quinidine
    C20H24N2O2          (Mass of molecular ion:    324)
    

       Source Temperature: 210 °C
       Sample Temperature: 140 °C
       Direct, 75 eV
    

          18.0       1.7
          27.0       2.3
          28.0       2.3
          29.0       2.5
          30.0       1.6
          39.0       3.2
          41.0       9.8
          42.0      10.8
          43.0       1.7
          44.0       2.7
          51.0       1.1
          53.0       5.6
          54.0       2.6
          55.0      10.7
          56.0       4.8
          57.0       1.2
          63.0       1.2
          65.0       1.7
          66.0       1.1
          67.0       3.7
          68.0       2.5
          69.0       2.2
          70.0       2.1
          77.0       3.1
          79.0       6.4
          80.0       4.1
          81.0      17.8
          82.0      10.3
          83.0       1.8
          89.0       1.9
          90.0       1.6
          91.0       1.7
          93.0       1.5
          94.0       3.0
          95.0       6.2
          96.0       1.8
         101.0       1.1
         102.0       1.0
         105.0       1.2
         106.0       1.0
         107.0       1.2
         108.0       4.8
         109.0       2.2
         110.0       2.3
         111.0       1.7
         115.0       1.4
         116.0       2.7
         117.0       4.8
         118.0       1.0
         122.0       2.5
         123.0       1.5
         124.0       2.6
         126.0       1.6
         128.0       1.3
         129.0       1.2
         130.0       1.3
         134.0       1.3
         136.0     100.0
         137.0      15.0
         138.0       7.4
         139.0       2.0
         145.0       2.6
         152.0       1.5
         154.0       1.3
         158.0       3.8
         159.0       3.6
         160.0       5.7
         166.0       1.3
         170.0       1.1
         172.0       5.8
         173.0      12.7
         174.0       4.5
         182.0       1.0
         183.0       1.1
         184.0       1.8
         185.0       1.0
         186.0       3.9
         187.0       1.7
         188.0       4.4
         189.0      18.2
         190.0       2.5
         198.0       1.7
         199.0       1.7
         200.0       1.8
         201.0       2.9
         202.0       1.5
         212.0       1.0
         213.0       1.1
         214.0       2.2
         215.0       1.5
         267.0       1.2
         269.0       1.2
         283.0       5.6
         284.0       1.1
         295.0       1.4
         297.0       1.1
         307.0       1.9
         308.0       1.4
         309.0       4.2
         310.0       1.1
         322.0       1.1
         323.0       2.4
         324.0      39.0
         325.0       9.5
         326.0       4.4
         327.0       1.0
    

400 MHz in CDCl3


  • 1H NMR 399.65 MHz
    C20 H24 N2 O2 0.040 g : 0.5 ml CDCl3
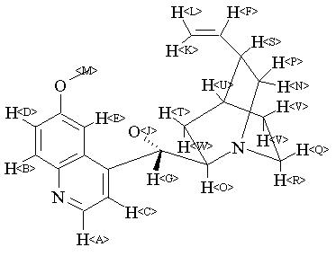
    quinidine
    ChemicalStructure
        Assign.     Shift(ppm)
    A 8.474 B 7.864 C 7.495 D 7.213 E 7.113 F 6.065 G 5.593 J 5.45 K 5.04 L 5.03 M 3.788 N 3.404 O 2.969 P 2.87 Q 2.84 R 2.711 S 2.206 T 2.070 U 1.73 V 1.53 to 1.43 W 1.039 ASSIGNED BY H-H COSY. J(N,P)=-13.6HZ J(N,S)=8.0HZ J(R,Q)=-12.6HZ

         Hz     ppm     Int.
    

       3389.28   8.481    189
       3384.64   8.470    199
       3147.95   7.877    201
       3138.67   7.854    217
       2997.68   7.501    142
       2993.16   7.490    143
       2888.79   7.229    100
       2885.99   7.222    114
       2879.52   7.206     94
       2876.83   7.199    112
       2843.99   7.117    143
       2841.31   7.110    137
       2442.26   6.111     34
       2434.69   6.093     38
       2431.64   6.085     33
       2425.54   6.070     46
       2424.19   6.066     45
       2417.85   6.050     39
       2414.92   6.043     44
       2407.23   6.024     40
       2237.18   5.598     89
       2233.76   5.590     91
       2026.37   5.071     53
       2024.66   5.067     91
       2023.44   5.064     82
       2018.07   5.050     86
       2017.21   5.048     96
       2015.38   5.043     62
       2007.57   5.024    197
       2006.59   5.021    210
       1514.04   3.789   1000
       1371.22   3.432     31
       1365.11   3.416     32
       1363.40   3.412     35
       1359.50   3.402     37
       1357.67   3.398     36
       1351.56   3.382     38
       1349.73   3.378     38
       1188.35   2.974     47
       1185.18   2.966     46
       1157.35   2.896     41
       1146.85   2.870     67
       1144.04   2.863     60
       1133.67   2.837     82
       1123.54   2.812     36
       1089.23   2.726     43
       1080.57   2.704     32
       1076.66   2.695     33
        885.74   2.217     42
        877.08   2.195     41
        838.50   2.099     31
        829.10   2.075     35
        827.27   2.070     39
        825.44   2.066     38
        816.16   2.043     32
        689.82   1.727     65
        601.81   1.506     36
        595.09   1.490     30
        590.45   1.478     50
        590.09   1.477     50
        589.84   1.476     50
        589.23   1.475     50
        580.81   1.454     54
        572.88   1.434     33
        572.51   1.433     33
        570.68   1.428     37
        415.77   1.041     40
    

in CDCl3



KBr disc



nujol mull



4880 A,200 M,powder