-
MS-NW-0110 benz(a)anthracene C18H12 (Mass of molecular ion: 228)
Source Temperature: 140 °C Sample Temperature: 0 °C Direct, 75 eV
41.0 1.2 63.0 1.1 69.0 2.4 74.0 1.1 75.0 1.0 81.0 1.1 87.0 1.3 88.0 1.7 99.0 1.1 100.0 3.3 101.0 4.5 112.0 2.3 112.5 1.6 113.0 6.3 113.5 1.6 114.0 8.0 114.5 1.7 150.0 1.1 200.0 3.0 201.0 1.6 202.0 3.1 224.0 4.0 225.0 3.3 226.0 19.1 227.0 6.4 228.0 100.0 229.0 20.1 230.0 2.1
400 MHz in CDCl3
90 MHz in CDCl3
-
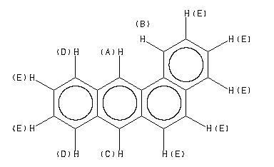
1H NMR 399.65 MHz C18 H12 0.021 g : 0.5 ml CDCl3 benz(a)anthracene 
Assign. Shift(ppm)
A 9.128 B 8.798 C 8.323 D 8.093 E 8.010 F 7.819 G 7.752 J 7.652 K 7.60 L 7.60 M 7.53 N 7.53 J(B,J)=8.0HZ. J(F,L)=7.7HZ. J(F,J)=1.6HZ. J(G,K)=9.0HZ.
Hz ppm Int.3648.07 9.129 695 3520.39 8.809 360 3519.78 8.808 354 3515.87 8.798 39 3512.33 8.789 376 3511.72 8.787 370 3326.29 8.324 875 3243.16 8.116 42 3242.19 8.113 41 3241.70 8.112 39 3239.38 8.106 245 3238.89 8.105 237 3236.08 8.098 228 3234.74 8.094 220 3234.13 8.093 215 3232.30 8.088 144 3231.45 8.086 181 3230.59 8.084 242 3229.74 8.082 291 3229.25 8.081 280 3227.17 8.075 79 3225.46 8.071 44 3224.61 8.069 38 3206.79 8.024 255 3206.30 8.023 250 3205.32 8.021 202 3204.59 8.019 166 3203.61 8.017 128 3201.78 8.012 225 3199.95 8.007 240 3197.14 8.000 293 3196.66 7.999 281 3194.34 7.993 69 3193.73 7.992 68 3192.87 7.990 62 3129.88 7.832 345 3128.30 7.828 341 3125.98 7.822 55 3125.37 7.821 52 3125.00 7.820 52 3122.19 7.813 429 3120.61 7.809 424 3116.09 7.798 31 3103.52 7.766 465 3099.61 7.756 40 3099.24 7.755 37 3094.48 7.743 625 3088.87 7.729 31 3067.63 7.676 202 3066.16 7.673 215 3064.09 7.667 36 3063.35 7.666 37 3060.55 7.659 384 3059.20 7.655 401 3058.11 7.652 252 3054.81 7.644 48 3052.49 7.638 376 3050.90 7.634 331 3047.73 7.626 38 3046.14 7.623 37 3041.50 7.611 1000 3040.16 7.608 541 3036.74 7.599 77 3033.69 7.591 722 3032.96 7.590 869 3032.59 7.589 871 3028.56 7.579 73 3026.61 7.574 257 3025.39 7.571 227 3022.95 7.564 34 3020.02 7.557 51 3019.41 7.556 38 3017.58 7.551 141 3015.50 7.546 104 3013.31 7.540 773 3012.70 7.539 728 3010.86 7.534 486 3008.91 7.529 606 3007.45 7.526 575 3005.62 7.521 480 3003.54 7.516 756 3003.17 7.515 715 3000.85 7.509 109 2998.90 7.504 146 2997.19 7.500 35 2996.46 7.498 42
-
1H NMR 89.56 MHz C18 H12 0.021 g : 0.5 ml CDCl3 benz(a)anthracene 
Assign. Shift(ppm)
A 9.118 B 8.786 C 8.315 D 8.21 to 7.89 E 7.89 to 7.40
Hz ppm Int.816.69 9.119 388 792.19 8.846 125 791.81 8.842 120 789.56 8.816 112 789.19 8.812 107 786.50 8.782 67 786.13 8.778 66 783.50 8.749 124 782.50 8.738 150 744.69 8.315 432 741.88 8.284 30 729.50 8.146 102 729.00 8.140 100 726.19 8.109 117 723.88 8.083 92 723.00 8.073 135 722.25 8.065 163 720.75 8.048 117 719.88 8.038 186 719.38 8.033 198 718.50 8.023 168 716.19 7.997 141 715.56 7.990 130 712.44 7.955 154 712.06 7.951 147 709.13 7.918 44 708.50 7.911 44 705.06 7.873 107 703.00 7.850 94 699.25 7.808 230 695.75 7.769 249 692.06 7.728 169 690.50 7.710 433 687.50 7.677 330 684.75 7.646 470 683.13 7.628 481 681.38 7.609 751 677.75 7.568 1000 675.75 7.546 252 674.50 7.532 490 671.31 7.496 312 668.13 7.461 533 664.88 7.424 47 664.50 7.420 48
更多供应商






