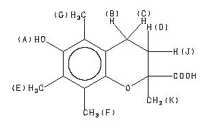
6-HYDROXY-2,5,7,8-TETRAMETHYLCHROMAN-2-CARBOXYLIC ACID
产品名称 6-HYDROXY-2,5,7,8-TETRAMETHYLCHROMAN-2-CARBOXYLIC ACID
CAS号56305-04-5
分子式C14H18O4
分子量250.29
-
MS-IW-0095 6-hydroxy-2,5,7,8-tetramethyl-2-chromancarboxylic acid C14H18O4 (Mass of molecular ion: 250)
Source Temperature: 200 °C Sample Temperature: 130 °C Direct, 75 eV
18.0 1.9 27.0 1.5 29.0 1.1 39.0 2.7 41.0 3.3 43.0 11.6 44.0 1.1 51.0 1.4 53.0 3.5 55.0 2.5 65.0 2.3 67.0 2.1 69.0 1.9 77.0 4.2 78.0 1.0 79.0 3.2 81.0 1.2 83.0 1.4 87.0 1.0 91.0 6.9 92.0 1.0 93.0 2.4 94.0 1.2 95.0 1.2 102.0 1.4 102.5 1.8 103.0 1.4 105.0 2.8 107.0 2.2 115.0 1.9 117.0 1.4 119.0 1.8 121.0 12.0 122.0 1.6 125.0 1.6 128.0 1.2 131.0 1.5 133.0 1.1 135.0 4.2 136.0 18.5 137.0 3.0 145.0 1.7 146.0 1.1 147.0 1.4 149.0 4.4 159.0 2.1 161.0 3.8 162.0 1.7 163.0 2.6 164.0 100.0 165.0 19.6 166.0 2.0 175.0 4.0 176.0 3.6 177.0 3.0 187.0 3.3 188.0 1.6 189.0 12.0 190.0 8.2 191.0 2.1 203.0 6.2 204.0 3.3 205.0 52.9 206.0 7.8 217.0 7.6 218.0 1.1 231.0 1.3 232.0 4.3 249.0 1.8 250.0 86.5 251.0 13.4 252.0 1.6
400 MHz in DMSO-d6
-
1H NMR 399.65 MHz C14 H18 O4 0.048 g : 0.5 ml DMSO-d6 6-hydroxy-2,5,7,8-tetramethyl-2-chromancarboxylic acid 
Assign. Shift(ppm)
A 7.45 B *1 2.550 C *1 2.410 D *2 2.290 E *3 2.058 F *3 2.034 G 1.980 J *2 1.732 K 1.496 assigned by C-H COSY
Hz ppm Int.2978.97 7.454 84 1028.46 2.574 31 1017.56 2.547 42 1015.00 2.540 51 1011.79 2.532 50 1009.23 2.526 44 972.48 2.434 39 967.78 2.422 33 961.58 2.407 49 926.53 2.319 43 923.76 2.312 45 920.34 2.303 41 917.13 2.295 35 913.29 2.286 49 910.29 2.278 52 907.09 2.270 44 904.10 2.263 33 822.68 2.059 796 813.07 2.035 809 791.70 1.981 804 707.51 1.771 34 701.31 1.755 42 696.40 1.743 45 694.26 1.738 46 689.99 1.727 45 688.06 1.722 42 683.15 1.710 41 598.10 1.497 1000
更多供应商





