图谱信息 供应商 相关产品
网站主页CAS数据库列表 56602-33-6更多图谱卡特缩合剂(56602-33-6)质谱(MS)

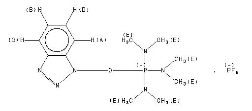
卡特缩合剂

产品名称 卡特缩合剂

CAS号56602-33-6

分子式C12H22F6N6OP2

分子量442.29

展开


  • Mass

    MS-IW-6165          
    ((1-benzotriazolyl)oxy)tris(dimethylamino)phosphonium hexafluorophosphate
    C12H22F6N6OP2       (Mass of molecular ion:    442)
    

       Source Temperature: 170 °C
       Sample Temperature: 180 °C
       Direct, 75 eV
    

          15.0       1.6
          18.0       5.0
          20.0       1.1
          28.0       4.6
          30.0       1.9
          37.0       2.7
          38.0       4.7
          39.0       4.5
          40.0       1.7
          41.0       7.1
          42.0      14.3
          43.0       6.9
          44.0      61.6
          44.5       1.9
          45.0      36.4
          45.5       2.7
          46.0       7.7
          47.0       1.8
          50.0       1.7
          51.0       2.4
          52.0       6.7
          57.0       1.8
          58.0       5.3
          59.5       1.2
          60.0       2.3
          61.0       1.8
          62.0       3.0
          63.0      15.4
          64.0      33.9
          65.0       7.9
          73.0       1.8
          75.0       1.5
          76.0       3.2
          77.0       3.4
          78.0       3.6
          88.0       3.2
          90.0       6.0
          91.0      64.2
          92.0      20.5
          93.0       5.7
         104.0       2.4
         107.0      11.2
         110.0       7.2
         111.0       1.0
         119.0     100.0
         120.0       9.7
         121.0      39.3
         122.0      17.9
         132.0       1.4
         133.0       7.7
         134.0      13.1
         135.0      92.3
         136.0      13.3
         138.0       2.2
         139.0       1.0
         153.0       4.0
         154.0       4.9
         165.0      25.4
         166.0       2.3
         176.0       1.7
         177.0      18.3
         178.0       7.9
         179.0      19.3
         180.0       4.8
         181.0       2.8
         182.0       2.7
         296.0       1.8
    

400 MHz in CDCl3


  • 1H NMR 399.65 MHz
    C12 H22 F6 N6 O P2 0.042 g : 0.5 ml CDCl3
    ((1-benzotriazolyl)oxy)tris(dimethylamino)phosphonium hexafluorophosphate
    ChemicalStructure
        Assign.     Shift(ppm)
    A 8.063 B 7.768 C 7.699 D 7.530 E 2.863

         Hz     ppm     Int.
    

       3226.93   8.075     49
       3219.24   8.056     32
       3218.38   8.053     53
       3105.59   7.771     32
       3104.74   7.769     30
       3098.75   7.754     34
       3097.78   7.752     32
       3080.93   7.710     35
       3080.08   7.707     58
       3079.10   7.705     35
       3071.66   7.686     35
       3009.40   7.531     32
       1149.78   2.877   1000
       1139.16   2.851    986
    

in CDCl3



KBr disc



nujol mull