
N,N-二乙基烯丙胺
产品名称
N,N-二乙基烯丙胺
CAS号5666-17-1
分子式C7H15N
分子量113.2
InChIInChI=1S/C7H15N/c1-4-7-8(5-2)6-3/h4H,1,5-7H2,2-3H3
InChIKeyJWAJUTZQGZBKFS-UHFFFAOYSA-N
SmilesC(N(CC)CC)C=C
展开
收起
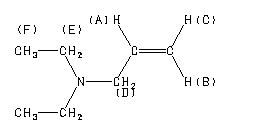
-
Assign. Shift(ppm)
A 5.780
B 5.07
C 5.01
D 3.008
E 2.433
F 0.944
400MHZ : HSP-41-063
Spectral Code: 1H NMR : 90 MHz in CDCl3
-
ppm Int. Assign.
136.18 470 1
116.92 515 2
56.38 465 3
46.73 1000 4
11.79 790 5
Spectral Code: 13C NMR : in CDCl3
-
Spectral Code: IR : liquid film
N,N-二乙基烯丙胺(5666-17-1)核磁图(13CNMR) 相关产品图谱