
3'-溴-4'-硝基苯乙酮
产品名称
3'-溴-4'-硝基苯乙酮
CAS号56759-33-2
分子式C8H6BrNO3
分子量244.04
InChIInChI=1S/C8H6BrNO3/c1-5(11)6-2-3-8(10(12)13)7(9)4-6/h2-4H,1H3
InChIKeyKOIQPVZFSPQQDF-UHFFFAOYSA-N
SmilesC(=O)(C1=CC=C([N+]([O-])=O)C(Br)=C1)C
展开
收起
-
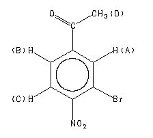
Parameter ppm Hz
D(A) 8.282
D(B) 7.991
D(C) 7.872
J(A,B) 1.82
J(A,C) 0.34
J(B,C) 8.37
D(D) 2.649
BATTS,B.D. ET AL. ORG.MAGN.RESON. 9, 210 (1977)
Spectral Code: 1H NMR : parameter in CDCl3
3'-溴-4'-硝基苯乙酮(56759-33-2)核磁图(1HNMR) 相关产品图谱