-
MS-IW-1356 2,5-dimethylbenzoxazole C9H9NO (Mass of molecular ion: 147)
Source Temperature: 240 °C Sample Temperature: 160 °C Reservoir, 75 eV
27.0 1.1 39.0 3.4 43.0 1.6 50.0 3.6 51.0 9.2 52.0 6.6 53.0 1.4 58.5 3.5 59.0 1.1 59.5 1.5 63.0 2.3 65.0 1.1 73.5 3.1 74.0 1.0 76.0 1.9 77.0 12.3 78.0 27.3 79.0 2.3 91.0 1.8 104.0 2.6 105.0 10.2 106.0 26.1 107.0 2.7 118.0 4.9 132.0 3.9 146.0 47.0 147.0 100.0 148.0 10.3
90 MHz in CDCl3
-
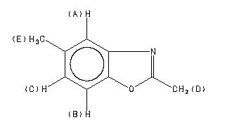
1H NMR 89.56 MHz C9 H9 N O 0.05 ml : 0.5 ml CDCl3 2,5-dimethylbenzoxazole 
Assign. Shift(ppm)
A 7.410 B 7.284 C 7.05 D 2.568 E 2.421
Hz ppm Int.664.50 7.420 108 663.69 7.411 119 662.94 7.403 108 657.88 7.346 76 649.56 7.253 150 635.63 7.098 79 635.25 7.094 80 634.25 7.082 74 627.50 7.007 40 626.88 7.000 40 625.94 6.990 37 230.06 2.569 1000 226.75 2.532 34 226.19 2.526 36 216.88 2.422 583
更多供应商



