图谱信息 供应商 相关产品
网站主页CAS数据库列表 5680-80-8更多图谱L-丝氨酸甲酯盐酸盐(5680-80-8)Raman光谱

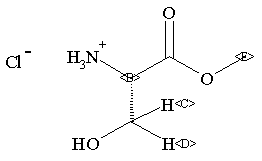
L-丝氨酸甲酯盐酸盐

产品名称 L-丝氨酸甲酯盐酸盐

CAS号5680-80-8

分子式C4H9NO3.ClH

分子量155.58

展开



  •     Assign.     Shift(ppm)
    B 4.300 C *1 4.109 D *1 4.014 E 3.863 THE SOLVENT SIGNAL REMOVED. J(B,C)=4.2HZ J(B,D)=3.4HZ J(C,D)=-12.6HZ
    Spectral Code: 1H NMR : 400 MHz in D2O



  •        ppm   Int.  Assign.
    169.70 1000 1 60.07 982 2 55.55 823 3 54.60 687 4
    Spectral Code: 13C NMR : in D2O


  • Spectral Code: IR : KBr disc


  • Spectral Code: Raman : 4880 A,200 M,powder