-
MS-NW-7286 2-(dimethylamino)pyridine C7H10N2 (Mass of molecular ion: 122)
Source Temperature: 200 °C Sample Temperature: 190 °C Reservoir, 75 eV
15.0 3.7 26.0 1.8 27.0 5.4 28.0 5.9 30.0 1.1 37.0 1.7 38.0 3.6 39.0 8.7 40.0 2.7 41.0 3.2 42.0 14.8 43.0 3.2 44.0 42.5 45.0 1.1 49.0 1.2 50.0 6.3 51.0 21.7 52.0 24.4 53.0 21.4 53.5 2.6 54.0 1.9 55.0 1.0 60.0 1.0 61.0 4.0 64.0 3.4 65.0 2.7 66.0 3.1 67.0 2.4 68.0 1.6 69.0 1.3 75.0 1.4 76.0 2.2 77.0 1.3 78.0 70.1 79.0 60.1 80.0 29.1 81.0 2.3 91.0 1.0 92.0 4.1 93.0 100.0 94.0 11.8 95.0 1.8 104.0 1.4 105.0 3.1 106.0 1.6 107.0 84.4 108.0 8.3 119.0 1.9 121.0 15.8 122.0 87.3 123.0 7.9
400 MHz in CDCl3
-
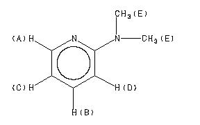
1H NMR 399.65 MHz C7 H10 N2 0.05 ml : 0.5 ml CDCl3 2-(dimethylamino)pyridine 
Assign. Shift(ppm)
A 8.151 B 7.386 C 6.500 D 6.460 E 3.031
Hz ppm Int.3263.43 8.166 72 3262.57 8.164 78 3261.47 8.161 81 3260.62 8.159 77 3258.54 8.154 76 3257.69 8.152 81 3256.47 8.149 81 3255.62 8.147 77 2964.23 7.418 92 2962.28 7.413 92 2957.15 7.400 99 2955.69 7.396 116 2955.20 7.395 117 2953.61 7.391 99 2948.61 7.378 99 2946.53 7.373 98 2604.13 6.517 84 2603.27 6.514 90 2599.12 6.504 83 2598.39 6.502 94 2597.05 6.499 86 2596.19 6.497 88 2592.04 6.486 79 2591.19 6.484 84 2586.79 6.473 105 2585.94 6.471 168 2584.96 6.469 98 2578.13 6.451 99 2577.27 6.449 162 2576.42 6.447 96 1212.77 3.035 1000
更多供应商




