产品名称 1,4-二乙酰氧基萘
CAS号5697-00-7
分子式C14H12O4
分子量244.24
InChIInChI=1S/C14H12O4/c1-9(15)17-13-7-8-14(18-10(2)16)12-6-4-3-5-11(12)13/h3-8H,1-2H3
InChIKeySFAVMNCWIUOBCX-UHFFFAOYSA-N
SmilesC1(OC(=O)C)=C2C(C=CC=C2)=C(OC(=O)C)C=C1
展开 收起
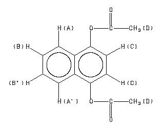
Parameter ppm Hz D(A) 7.834 D(B) 7.466 J(A,A') 0.37 J(A,B) 8.64 J(A,B') 1.16 J(A',B) 1.16 J(A',B') 8.64 J(B,B') 7.08 D(C) 7.200 D(D) 2.364 GRANGER,P. & MAUGRAS,M. ORG.MAGN.RESON. 7, 598 (1975)
更多供应商
1,4-二乙酰氧基萘(5697-00-7)红外图谱(IR1) 相关产品图谱