图谱信息 供应商 相关产品
网站主页CAS数据库列表 57-44-3更多图谱巴比妥(57-44-3)Raman光谱

巴比妥

产品名称 巴比妥

CAS号57-44-3

分子式C8H12N2O3

分子量184.19

展开


  • Mass

    MS-NW-0181          
    5,5-diethylbarbituric acid
    C8H12N2O3           (Mass of molecular ion:    184)
    

       Source Temperature: 180 °C
       Sample Temperature:   0 °C
       Direct, 75 eV
    

          15.0       1.2
          26.0       2.6
          27.0      12.6
          28.0       2.9
          29.0      12.8
          38.0       1.7
          39.0      14.8
          40.0       3.0
          41.0      19.5
          42.0       3.1
          43.0       2.0
          44.0       6.5
          51.0       1.2
          52.0       1.5
          53.0       4.3
          54.0       3.1
          55.0      17.5
          56.0       2.6
          66.0       1.0
          67.0       1.9
          68.0       1.3
          69.0       6.5
          70.0       3.6
          80.0       1.6
          83.0      11.7
          84.0       1.8
          85.0       4.0
          94.0       3.2
          95.0       1.1
          97.0       1.0
          98.0      14.1
         112.0      17.2
         113.0       2.2
         126.0       1.6
         141.0      76.4
         142.0       4.9
         155.0      19.4
         156.0     100.0
         157.0       7.5
    

400 MHz in DMSO-d6

90 MHz in DMSO-d6


  • 1H NMR 399.65 MHz
    C8 H12 N2 O3 0.042 g : 0.5 ml DMSO-d6
    5,5-diethylbarbituric acid
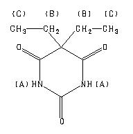
    ChemicalStructure
        Assign.     Shift(ppm)
    A 11.6 B 1.821 C 0.748

         Hz     ppm     Int.
    

       4616.89  11.553    249
        739.26   1.850    123
        731.93   1.832    392
        724.42   1.813    400
        717.10   1.795    129
        306.25   0.767    478
        298.93   0.748   1000
        291.42   0.730    420
    


  • 1H NMR 89.56 MHz
    C8 H12 N2 O3 0.038 g : 0.5 ml DMSO-d6
    5,5-diethylbarbituric acid
    ChemicalStructure
        Assign.     Shift(ppm)
    A 11.49 B 1.815 C 0.754

         Hz     ppm     Int.
    

       1029.41  11.495    181
        174.91   1.953     84
        172.35   1.925     30
        171.50   1.915     27
        170.98   1.910     28
        167.14   1.867    332
        159.70   1.784    385
        152.70   1.706    138
         74.34   0.831    439
         70.58   0.789     51
         67.08   0.749   1000
         62.63   0.700     52
         59.56   0.666    302
    

DMSO-d6



KBr disc



nujol mull



4880 A,200 M,powder



更多供应商