-
MS-NW-2474 physostigmine C15H21N3O2 (Mass of molecular ion: 275)
Source Temperature: 260 °C Sample Temperature: 140 °C Direct, 75 eV
15.0 8.6 17.0 1.1 18.0 5.4 26.0 1.3 27.0 10.0 27.5 1.5 28.0 23.0 29.0 3.6 30.0 2.1 38.0 1.2 39.0 5.4 40.0 1.2 41.0 3.1 42.0 22.1 43.0 1.4 44.0 10.2 50.0 1.2 51.0 3.5 52.0 2.0 53.0 1.8 54.0 1.3 55.0 3.4 56.0 13.3 57.0 36.4 58.0 3.9 62.0 1.0 63.0 3.2 64.0 1.3 65.0 5.3 66.0 2.1 67.0 1.5 68.0 1.3 70.0 1.7 71.0 1.2 73.0 5.1 77.0 5.3 78.0 2.1 79.0 1.9 80.0 2.1 81.0 2.3 82.0 1.7 89.0 3.0 90.0 2.0 91.0 4.7 92.0 1.3 93.0 1.3 94.0 2.9 96.0 7.8 97.0 1.4 101.0 2.0 101.5 4.2 102.0 1.3 103.0 2.4 104.0 1.4 105.0 1.4 106.0 1.5 107.0 1.4 108.0 1.2 109.0 2.0 115.0 2.5 116.0 2.2 117.0 4.9 118.0 2.5 119.0 1.1 120.0 1.0 122.0 1.4 130.0 3.4 131.0 5.8 132.0 7.9 133.0 3.1 134.0 1.9 142.0 1.0 143.0 1.4 144.0 3.6 145.0 5.5 146.0 13.2 147.0 5.8 148.0 2.2 157.0 1.0 158.0 2.9 159.0 7.2 160.0 89.3 161.0 73.3 162.0 18.2 163.0 2.1 170.0 1.0 172.0 2.2 173.0 4.1 174.0 87.8 175.0 19.5 176.0 4.6 177.0 1.8 186.0 6.4 187.0 4.1 188.0 12.6 189.0 3.4 190.0 2.3 201.0 1.8 202.0 2.0 203.0 11.7 204.0 2.0 217.0 9.0 218.0 100.0 219.0 14.7 220.0 1.2 275.0 5.6 276.0 1.0
400 MHz in CDCl3
-
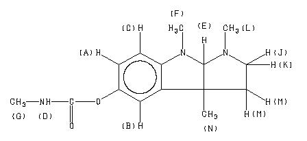
1H NMR 399.65 MHz C15 H21 N3 O2 0.041 g : 0.5 ml CDCl3 physostigmine 
Assign. Shift(ppm)
A 6.791 B 6.755 C 6.328 D 5.16 E 4.100 F *1 2.908 G 2.830 J *2 2.70 K *2 2.64 L *1 2.535 M 1.94 N 1.417 ASSIGNED BY C-H COSY. J(D,G)=5.2HZ
Hz ppm Int.2719.73 6.806 49 2717.41 6.800 57 2711.43 6.785 48 2708.98 6.779 65 2700.68 6.758 129 2698.36 6.752 93 2533.20 6.339 94 2524.78 6.318 83 1638.55 4.100 176 1162.35 2.909 1000 1133.79 2.837 253 1128.91 2.825 261 1083.62 2.712 40 1082.15 2.708 32 1078.98 2.700 45 1077.64 2.697 46 1072.88 2.685 32 1066.89 2.670 39 1060.42 2.654 47 1058.72 2.650 61 1052.12 2.633 49 1049.68 2.627 35 1013.43 2.536 773 781.62 1.956 69 780.52 1.954 69 777.10 1.945 64 774.41 1.938 84 772.34 1.933 72 770.75 1.929 54 765.99 1.917 45 566.41 1.418 483
更多供应商





