图谱信息 供应商 相关产品
网站主页CAS数据库列表 57-50-1更多图谱蔗糖(57-50-1)质谱(MS)

蔗糖

产品名称 蔗糖

CAS号57-50-1

分子式C12H22O11

分子量342.3

展开


  • Mass

    MS2001-00362WA      
    D-(+)-sucrose
    C12H22O11           (Mass of molecular ion:    342)
    

       Source Temperature: 220 °C
       Sample Temperature: 255 °C
       Direct, 70 eV
    

          15.0       5.1
          17.0       1.1
          18.0       4.9
          19.0       6.2
          26.0       1.6
          27.0       8.1
          28.0       4.7
          29.0      20.4
          30.0       3.6
          31.0      36.0
          32.0       1.5
          39.0       5.8
          40.0       2.0
          41.0      10.7
          42.0      13.7
          43.0      30.5
          44.0      16.5
          45.0      14.5
          47.0       4.3
          49.0       3.5
          53.0       1.0
          54.0       1.8
          55.0      13.6
          56.0      13.2
          57.0      55.0
          58.0       6.5
          59.0       2.2
          60.0      56.1
          61.0      25.8
          62.0       1.4
          68.0       3.9
          69.0      12.3
          70.0       3.7
          71.0      22.4
          72.0       6.4
          73.0     100.0
          74.0      12.7
          75.0       1.5
          77.0       7.1
          81.0       1.1
          83.0       1.6
          84.0       1.3
          85.0      12.3
          86.0      13.0
          87.0       4.0
          89.0       3.0
          90.0       1.7
          91.0       4.1
          97.0       9.2
          98.0       4.2
          99.0       1.7
         101.0       5.5
         102.0       4.6
         103.0       7.8
         104.0       1.0
         109.0       1.4
         113.0       2.6
         114.0       1.0
         115.0       2.8
         116.0       1.5
         119.0       2.8
         126.0       2.5
         127.0       2.7
         131.0       6.2
         132.0       1.6
         133.0       5.8
         144.0       1.6
         145.0       4.0
         146.0       1.8
         149.0       2.1
         163.0       1.3
         221.0       5.0
         293.0       1.7
    

400 MHz in D2O


  • 1H NMR 399.65 MHz
    C12 H22 O11 0.038 g : 0.5 ml D2O
    D-(+)-sucrose
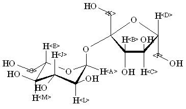
    ChemicalStructure
        Assign.     Shift(ppm)
    A 5.418 B 4.219 C 4.055 D 3.89 E 3.86 F 3.826 G 3.817 J 3.762 K 3.679 L 3.563 M 3.476 ASSIGNED BY H-H AND C-H COSY. THE SOLVENT SIGNAL SUPPRESSED.

         Hz     ppm     Int.
    

       2167.24   5.423    308
       2163.45   5.414    314
       1691.28   4.232    391
       1682.50   4.210    506
       1628.91   4.076    207
       1620.48   4.055    344
       1611.82   4.034    198
       1565.80   3.918     80
       1561.89   3.909     96
       1559.69   3.903    166
       1557.37   3.897     84
       1555.79   3.893    140
       1553.83   3.888     97
       1551.27   3.882    135
       1547.49   3.873    138
       1542.85   3.861    149
       1539.92   3.854    140
       1537.60   3.848     99
       1537.11   3.847     99
       1536.50   3.845     98
       1530.40   3.830    862
       1527.83   3.823    854
       1524.41   3.815    550
       1518.07   3.799     55
       1514.04   3.789    181
       1504.15   3.764    267
       1494.87   3.741    231
       1470.34   3.680   1000
       1430.42   3.580    235
       1426.51   3.570    228
       1420.41   3.555    183
       1416.50   3.545    187
       1397.58   3.498    200
       1388.31   3.474    279
       1378.78   3.450    136
    

in D2O



KBr disc



nujol mull