-
MS2004-02325WA progesterone C21H30O2 (Mass of molecular ion: 314)
Source Temperature: 250 °C Sample Temperature: 35 °C Direct, 70 eV
18.0 1.0 27.0 1.4 29.0 2.2 39.0 2.8 41.0 10.3 43.0 40.5 53.0 5.7 55.0 10.8 65.0 3.9 66.0 1.5 67.0 12.5 68.0 1.6 69.0 2.9 71.0 8.1 77.0 13.0 78.0 3.2 79.0 21.5 80.0 3.2 81.0 14.1 82.0 1.4 83.0 2.5 84.0 6.1 85.0 7.8 86.0 1.1 91.0 24.8 92.0 4.3 93.0 19.5 94.0 7.1 95.0 17.7 96.0 3.0 97.0 4.4 100.5 1.3 103.0 2.2 104.0 1.5 105.0 20.0 106.0 5.5 107.0 19.5 108.0 5.3 109.0 13.2 110.0 3.3 111.0 4.4 115.0 3.3 116.0 1.6 117.0 7.2 118.0 2.6 119.0 13.9 120.0 8.1 121.0 15.4 122.0 11.8 123.0 16.7 124.0 100.0 125.0 12.1 126.0 1.0 128.0 2.6 129.0 3.9 130.0 1.9 131.0 11.3 132.0 6.9 133.0 23.1 134.0 12.3 135.0 15.7 136.0 7.9 137.0 12.4 138.0 4.2 141.0 1.7 142.0 1.4 143.0 4.9 144.0 2.7 145.0 11.4 146.0 5.2 147.0 25.6 148.0 8.2 149.0 14.5 150.0 3.0 151.0 1.2 155.0 2.6 156.0 1.2 157.0 4.8 158.0 2.3 159.0 11.6 160.0 3.8 161.0 7.2 162.0 3.2 163.0 4.8 164.0 1.1 169.0 1.9 170.0 1.2 171.0 5.1 172.0 4.2 173.0 15.8 174.0 6.5 175.0 6.0 176.0 3.3 177.0 4.7 178.0 2.1 183.0 2.3 184.0 1.4 185.0 5.7 186.0 2.8 187.0 14.0 188.0 4.4 189.0 3.8 190.0 13.3 191.0 27.4 192.0 4.7 193.0 1.4 197.0 2.4 198.0 1.2 199.0 3.3 200.0 2.3 201.0 7.2 202.0 4.1 203.0 2.0 205.0 1.0 211.0 8.0 212.0 2.3 213.0 4.0 214.0 3.0 215.0 4.2 216.0 3.0 225.0 3.1 226.0 2.6 227.0 8.5 228.0 5.5 229.0 59.7 230.0 14.3 231.0 6.0 232.0 1.9 238.0 1.1 239.0 3.2 241.0 1.4 243.0 4.4 244.0 21.6 245.0 4.0 253.0 5.4 254.0 5.1 255.0 1.6 256.0 3.4 257.0 7.6 258.0 2.2 267.0 1.0 269.0 1.2 270.0 2.0 271.0 7.8 272.0 77.7 273.0 15.8 274.0 1.9 281.0 3.2 286.0 2.6 296.0 7.3 297.0 2.3 299.0 12.4 300.0 2.8 314.0 87.5 315.0 20.7 316.0 3.0
400 MHz in CDCl3
-
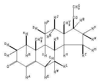
1H NMR 399.65 MHz C21 H30 O2 0.035 g : 0.5 ml CDCl3 progesterone 
Assign. Shift(ppm)
A 5.737 B 2.544 C 2.40 D 2.47 to 2.33 E 2.289 F *2 2.187 G 2.130 J 2.07 K 2.05 L 1.870 M *1 1.71 N *2 1.69 P 1.65 Q 1.565 R 1.46 S 1.45 T *1 1.28 U 1.192 V 1.19 W 1.057 X 0.992 Y 0.670 ASSIGNED BY H-H AND C-H COSY.
Hz ppm Int.2293.46 5.739 106 2292.60 5.737 110 2291.87 5.735 110 1025.76 2.567 39 1016.72 2.545 78 1007.81 2.522 36 977.05 2.445 32 974.37 2.439 54 972.05 2.433 39 969.36 2.426 50 964.60 2.414 33 962.77 2.410 34 960.08 2.403 77 957.52 2.396 38 955.08 2.390 55 950.81 2.380 53 949.71 2.377 48 949.22 2.376 48 947.51 2.371 48 945.68 2.367 70 943.85 2.362 43 942.50 2.359 46 941.77 2.357 42 923.71 2.312 38 921.14 2.305 43 919.31 2.301 44 916.87 2.295 40 881.84 2.207 40 879.88 2.202 40 870.73 2.179 45 869.02 2.175 39 859.74 2.152 31 856.81 2.144 33 851.20 2.130 1000 835.08 2.090 42 832.15 2.083 45 827.03 2.070 56 824.22 2.063 67 822.75 2.059 47 819.34 2.051 32 814.21 2.038 39 811.04 2.030 42 809.20 2.025 37 755.98 1.892 30 752.69 1.884 31 739.75 1.851 31 702.15 1.757 34 697.14 1.745 36 695.68 1.741 36 688.60 1.724 65 686.77 1.719 54 683.11 1.710 84 680.18 1.702 35 677.49 1.696 55 674.19 1.687 57 669.07 1.675 47 665.77 1.666 36 663.94 1.662 34 659.79 1.651 52 658.33 1.648 33 657.23 1.645 38 654.79 1.639 32 651.86 1.632 46 650.39 1.628 39 633.06 1.585 33 629.52 1.576 30 621.58 1.556 36 618.16 1.547 32 593.63 1.486 32 591.31 1.480 33 582.76 1.459 97 578.86 1.449 30 574.10 1.437 70 499.27 1.250 44 483.64 1.211 47 476.68 1.193 622 471.31 1.180 40 466.67 1.168 36 464.72 1.163 30 407.96 1.021 31 403.56 1.010 35 395.87 0.991 30 392.09 0.982 33 267.70 0.670 673
更多供应商






