图谱信息 供应商 相关产品
网站主页CAS数据库列表 57-85-2更多图谱丙酸睾酮(57-85-2)红外图谱(IR1)

丙酸睾酮

产品名称 丙酸睾酮

CAS号57-85-2

分子式C22H32O3

分子量344.5

展开





  •        ppm   Int.  Assign.
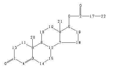
    199.25 721 1 174.41 592 2 170.81 712 3 123.95 803 4 82.22 863 5 53.78 918 6 50.34 923 7 42.57 903 8 38.66 895 9 36.70 766 10 35.77 887 11 35.48 1000 12 33.96 826 13 32.76 845 14 31.56 892 15 27.83 886 16 * 27.56 831 17 * 23.51 721 18 20.59 792 19 17.43 707 20 12.06 773 21 9.29 907 22
    Spectral Code: 13C NMR : in CDCl3


  • Spectral Code: IR : KBr disc


  • Spectral Code: Raman : 4880 A,200 M,powder