图谱信息 供应商 相关产品
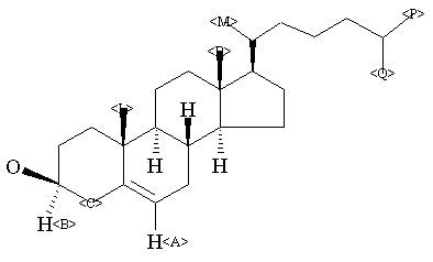
网站主页CAS数据库列表 57-88-5更多图谱胆固醇(57-88-5)核磁图(1HNMR)

胆固醇

产品名称 胆固醇

CAS号57-88-5

分子式C27H46O

分子量386.65

展开



  •     Assign.     Shift(ppm)
    A 5.349 B 3.524 C 2.28 L 1.006 M 0.915 P *1 0.867 Q *1 0.862 R 0.677
    Spectral Code: 1H NMR : 400 MHz in CDCl3



  •        ppm   Int.  Assign.
    140.80 454 1 121.69 447 2 71.81 390 3 56.80 383 4 56.21 404 5 50.19 567 6 42.35 1000 7 8 39.83 440 9 39.56 567 10 37.31 489 11 36.56 426 12 36.24 496 13 35.81 454 14 31.94 965 15 16 31.71 340 17 28.24 362 18 28.02 525 19 24.32 525 20 23.89 468 21 22.81 468 22 22.60 383 22 21.15 355 23 19.43 454 24 18.74 397 25 11.89 262 26
    Spectral Code: 13C NMR : in CDCl3


  • Spectral Code: IR : KBr disc