图谱信息 供应商 相关产品
网站主页CAS数据库列表 57-97-6更多图谱9,10-二甲基-1,2-苯并蒽(57-97-6)红外图谱(IR2)

9,10-二甲基-1,2-苯并蒽

产品名称 9,10-二甲基-1,2-苯并蒽

CAS号57-97-6

分子式C20H16

分子量256.34

展开


  • Mass

    MS-NW-6912          
    7,12-dimethylbenz(a)anthracene
    C20H16              (Mass of molecular ion:    256)
    

       Source Temperature: 230 °C
       Sample Temperature: 130 °C
       Direct, 75 eV
    

          27.0       1.3
          39.0       1.4
          51.0       1.4
          63.0       1.5
          75.0       1.3
          77.0       1.1
          87.0       1.1
          88.0       1.0
         100.0       1.6
         101.0       2.4
         106.5       2.1
         107.5       1.8
         112.0       2.3
         112.5       1.0
         113.0       7.0
         113.5       1.8
         114.0       3.1
         118.5       2.7
         119.0       3.3
         119.5      11.8
         120.0      11.4
         120.5       5.9
         121.0       1.1
         125.0       3.6
         125.5       1.1
         126.0       6.1
         126.5       1.9
         127.0       4.8
         127.5       1.2
         128.0       6.5
         128.5       1.3
         150.0       1.0
         152.0       1.0
         176.0       1.0
         187.0       1.2
         189.0       1.3
         200.0       1.4
         202.0       1.7
         213.0       2.1
         215.0       3.3
         224.0       1.7
         225.0       1.3
         226.0       5.9
         227.0       2.7
         228.0       2.8
         229.0       2.5
         237.0       3.2
         238.0       2.2
         239.0      29.2
         240.0      23.2
         241.0      42.7
         242.0       9.1
         243.0       1.4
         250.0       3.7
         251.0       1.8
         252.0       7.5
         253.0       5.5
         254.0       4.5
         255.0      11.0
         256.0     100.0
         257.0      22.1
         258.0       2.6
    

400 MHz in CDCl3


  • 1H NMR 399.65 MHz
    C20 H16 11.1 mg : 0.5 ml CDCl3
    7,12-dimethylbenz(a)anthracene
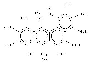
    ChemicalStructure
        Assign.     Shift(ppm)
    A 8.456 B *1 8.36 C *1 8.34 D 8.015 E 7.805 F *2 7.62 G *2 7.61 J 7.55 K *3 7.56 L *3 7.54 M 3.334 N 3.047 B,C,F,G,K AND L WERE CONFIRMED BY LAOCN PROGRAM.

         Hz     ppm     Int.
    

       3385.01   8.470     86
       3383.06   8.466     53
       3381.35   8.461     45
       3380.74   8.460     46
       3378.54   8.454     75
       3377.69   8.452     60
       3375.61   8.447     96
       3345.70   8.372     96
       3345.09   8.371    108
       3343.26   8.366    143
       3338.50   8.354     71
       3336.30   8.349    183
       3335.69   8.347    226
       3335.08   8.346    187
       3332.89   8.340     85
       3328.25   8.328    155
       3326.42   8.324    132
       3325.68   8.322    114
       3208.25   8.028    282
       3198.97   8.005    311
       3124.51   7.819    107
       3121.95   7.812     77
       3120.97   7.810     81
       3119.51   7.806     67
       3117.19   7.800     80
       3115.36   7.796    132
       3057.62   7.651     43
       3055.91   7.647     62
       3051.03   7.635    149
       3049.32   7.630    129
       3047.61   7.626     62
       3046.14   7.623    163
       3043.58   7.616    326
       3041.02   7.610    152
       3039.55   7.606     70
       3037.84   7.602    135
       3036.13   7.597    151
       3031.25   7.585     67
       3029.54   7.581     58
       3026.98   7.575     72
       3023.93   7.567    211
       3021.97   7.562    223
       3020.14   7.557    273
       3016.48   7.548    389
       3014.65   7.544    213
       3012.82   7.539    316
       3010.74   7.534    169
       3005.86   7.522     48
       1332.64   3.335    838
       1217.90   3.048   1000
    

in CDCl3



KBr disc



nujol mull