图谱信息 供应商 相关产品
网站主页CAS数据库列表 5720-06-9更多图谱2-甲氧基苯基硼酸(5720-06-9)核磁图(13CNMR)

2-甲氧基苯基硼酸

产品名称 2-甲氧基苯基硼酸

CAS号5720-06-9

分子式C7H9BO3

分子量151.96


  • Mass

    MS-IW-9287          
    dihydroxy(o-methoxyphenyl)borane
    C7H9BO3             (Mass of molecular ion:    152)
    

       Source Temperature: 170 °C
       Sample Temperature: 150 °C
       Direct, 75 eV
    

          14.0       1.7
          15.0       4.8
          16.0       1.1
          17.0      13.0
          18.0      54.5
          26.0       1.0
          27.0       3.1
          28.0      32.3
          29.0       3.9
          31.0       3.0
          32.0       3.0
          37.0       2.5
          38.0       7.6
          39.0      23.4
          40.0       2.8
          41.0       5.4
          42.0       1.5
          43.0       4.7
          44.0       8.1
          45.0      25.7
          49.0       1.6
          50.0      11.6
          51.0      18.4
          52.0       4.4
          53.0       5.7
          54.0       2.0
          55.0       5.1
          56.0       1.5
          57.0       5.4
          58.0       1.8
          59.0       2.7
          61.0       1.8
          62.0       3.8
          63.0      11.9
          64.0       8.4
          65.0      52.9
          66.0       7.3
          67.0       2.4
          69.0       3.3
          70.0       1.6
          71.0       3.1
          73.0       1.1
          74.0       6.5
          75.0      10.1
          76.0      13.6
          77.0      30.8
          78.0      54.9
          79.0      16.1
          80.0       3.2
          81.0       2.1
          82.0       1.8
          83.0       3.1
          84.0       1.8
          85.0       2.3
          88.0       1.0
          89.0       6.8
          90.0      38.8
          91.0      24.4
          92.0       5.5
          93.0      10.1
          94.0      10.6
          95.0       1.9
          96.0       1.6
          97.0       2.3
          98.0       1.2
         101.0       1.0
         102.0       2.0
         103.0       4.7
         104.0       9.8
         105.0      18.9
         106.0       2.4
         107.0      21.8
         108.0      36.8
         109.0      11.2
         110.0       1.6
         111.0       2.7
         112.0       1.0
         113.0       1.4
         115.0       1.4
         117.0       2.4
         118.0       2.7
         118.5       1.2
         119.0       3.7
         120.0       4.3
         121.0       8.9
         122.0       4.2
         123.0       1.4
         124.0       1.6
         125.0       2.1
         127.0       1.3
         129.0       1.2
         130.0       1.2
         131.0       1.5
         132.0       5.5
         132.5       1.0
         133.0      32.1
         134.0      65.1
         135.0       8.2
         136.0       9.4
         137.0       3.1
         138.0       1.7
         139.0       1.4
         140.0       1.0
         141.0       2.1
         143.0       1.1
         145.0       1.1
         146.0       1.5
         147.0       2.6
         148.0       1.1
         149.0       4.8
         150.0       2.5
         151.0      27.3
         152.0     100.0
         153.0       9.3
         154.0       3.2
         155.0       1.6
         155.5       1.2
         156.0       1.0
         159.0       1.2
         160.0       1.5
         161.0       1.4
         162.0       2.0
         163.0       3.0
         164.0       1.5
         165.0       5.3
         166.0       2.5
         167.0       2.0
         168.0       1.4
         169.0       1.2
         170.0       1.0
         171.0       1.7
         176.0       1.6
         177.0       1.9
         178.0       3.5
         179.0       5.1
         180.0       1.7
         181.0       1.9
         182.0       1.3
         183.0       1.1
         189.0       1.1
         191.0       1.4
         193.0       2.3
         194.0       1.2
         195.0       1.6
         196.0       1.7
         197.0       1.1
         201.0       1.2
         204.0       1.0
         205.0       1.8
         206.0       1.4
         207.0       1.4
         209.0       2.3
         210.0       1.7
         211.0       1.4
         219.0       1.1
         221.0       2.1
         222.0       2.0
         223.0       2.4
         224.0       2.4
         233.0       1.0
         234.0       1.2
         235.0       1.9
         236.0       1.6
         237.0       2.3
         238.0       1.6
         239.0       1.4
         241.0       1.1
         242.0       2.3
         248.0       1.8
         249.0       1.9
         250.0       1.4
         251.0       1.4
         252.0       2.8
         253.0       3.9
         254.0       3.4
         255.0       1.0
         264.0       1.1
         265.0       1.8
         267.0       1.3
         268.0       2.1
         269.0       1.9
         278.0       2.2
         279.0       4.0
         280.0       2.0
         295.0       1.3
         400.0       2.7
         401.0      11.4
         402.0      17.3
         403.0       4.0
    

400 MHz in CDCl3


  • 1H NMR 399.65 MHz
    C7 H9 B O3 0.037 g : 0.5 ml CDCl3
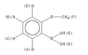
    dihydroxy(o-methoxyphenyl)borane
    ChemicalStructure
        Assign.     Shift(ppm)
    A 7.879 B 7.441 C 7.035 D 6.905 E 6.80 F 3.893

         Hz     ppm     Int.
    

       3153.56   7.891     86
       3151.61   7.886     89
       3146.24   7.873     91
       3144.41   7.868     90
       2982.79   7.464     60
       2980.83   7.459     62
       2975.34   7.445     77
       2974.37   7.443     82
       2973.51   7.441     80
       2972.53   7.438     73
       2967.04   7.425     71
       2965.09   7.420     67
       2819.21   7.055     80
       2818.36   7.053     78
       2811.89   7.036    145
       2811.04   7.034    141
       2804.57   7.018     71
       2803.71   7.016     67
       2763.43   6.915    127
       2755.25   6.895    113
       2716.19   6.797    632
       1556.15   3.894   1000
    

in CDCl3



KBr disc



nujol mull