-
MS-KW-0190 2'-hydroxy-1'-acetonaphthone C12H10O2 (Mass of molecular ion: 186)
Source Temperature: 180 °C Sample Temperature: 150 °C Reservoir, 75 eV
28.0 1.1 39.0 2.0 43.0 5.2 50.0 1.2 51.0 2.6 57.0 1.1 57.5 3.0 62.0 2.0 63.0 4.7 64.0 1.7 65.0 2.2 70.0 1.1 71.0 3.0 71.5 1.3 74.0 1.3 75.0 1.6 77.0 1.4 85.5 3.0 86.0 1.3 87.0 1.5 88.0 1.9 89.0 4.0 93.0 3.5 113.0 2.2 114.0 4.7 115.0 25.2 116.0 2.8 127.0 1.3 128.0 2.1 139.0 2.5 140.0 1.8 143.0 13.1 144.0 3.7 168.0 3.7 171.0 100.0 172.0 12.2 173.0 1.1 185.0 6.5 186.0 51.3 187.0 6.9
400 MHz in CDCl3
-
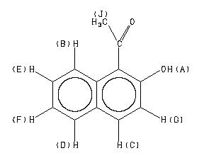
1H NMR 399.65 MHz C12 H10 O2 0.037 g : 0.5 ml CDCl3 2'-hydroxy-1'-acetonaphthone 
Assign. Shift(ppm)
A 13.5 B 8.055 C 7.852 D 7.756 E 7.549 F 7.375 G 7.114 J 2.835
Hz ppm Int.5382.53 13.469 327 3224.28 8.068 77 3223.73 8.067 78 3215.67 8.047 83 3214.94 8.045 84 3142.95 7.865 101 3142.59 7.864 100 3133.80 7.842 106 3104.67 7.769 66 3104.12 7.768 61 3103.39 7.766 67 3096.61 7.749 71 3096.06 7.747 67 3095.33 7.746 74 3025.91 7.572 49 3024.26 7.568 50 3018.95 7.554 63 3017.30 7.550 96 3015.65 7.546 48 3010.34 7.533 54 3008.69 7.529 53 2955.03 7.395 67 2954.11 7.392 68 2948.06 7.377 62 2947.15 7.375 110 2946.05 7.372 68 2940.19 7.357 49 2939.09 7.355 51 2847.51 7.126 188 2838.53 7.103 178 1133.25 2.836 1000
更多供应商






