图谱信息 供应商 相关产品
网站主页CAS数据库列表 574-84-5更多图谱秦皮素(574-84-5)红外图谱(IR1)

秦皮素

产品名称 秦皮素

CAS号574-84-5

分子式C10H8O5

分子量208.17


  • Mass

    MS-NW-7629          
    7,8-dihydroxy-6-methoxycoumarin
    C10H8O5             (Mass of molecular ion:    208)
    

       Source Temperature: 210 °C
       Sample Temperature: 160 °C
       Direct, 75 eV
    

          15.0       5.3
          26.0       1.6
          27.0       5.8
          28.0       1.4
          29.0       8.1
          31.0       1.3
          37.0       3.2
          38.0       4.1
          39.0       8.3
          40.5       1.0
          41.0       1.3
          42.0       1.0
          49.0       2.3
          50.0       9.6
          51.0      19.4
          52.0      12.7
          53.0      14.4
          54.0       3.1
          55.0       3.4
          58.0       1.4
          59.5       1.5
          61.0       3.2
          62.0       5.9
          63.0      10.8
          64.0       3.5
          65.0       4.8
          66.0       4.5
          67.0       2.1
          69.0       3.9
          74.0       2.1
          75.0       2.6
          76.0       1.7
          77.0       3.2
          78.0       2.6
          79.0       9.8
          80.0       6.0
          81.0      34.6
          82.0       2.4
          85.0       1.1
          90.0       1.3
          91.0       3.9
          92.0       3.2
          93.0       1.5
          94.0       1.0
          95.0       6.3
          96.0       4.9
         104.0       2.0
         105.0       1.3
         106.0       2.0
         108.0       3.3
         109.0      31.3
         110.0       2.6
         119.0       3.2
         120.0       1.1
         121.0       1.1
         123.0       5.7
         124.0       3.1
         133.0       1.9
         134.0       4.7
         136.0       1.4
         137.0      29.6
         138.0       2.6
         147.0       1.7
         150.0       1.8
         151.0       2.8
         152.0       7.5
         160.0       1.3
         161.0       1.8
         162.0       1.5
         165.0      22.6
         166.0       2.4
         178.0       2.3
         179.0       1.1
         180.0      23.5
         181.0       2.5
         190.0       1.4
         193.0      36.0
         194.0       4.1
         207.0       2.3
         208.0     100.0
         209.0      11.9
         210.0       1.8
    

parameter in DMSO-d6


  • 1H NMR 300 MHz
    C10 H8 O5 0.031 g : 0.5 ml DMSO-d6
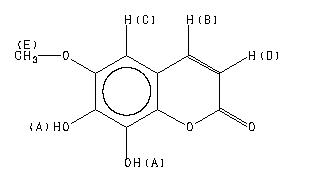
    7,8-dihydroxy-6-methoxycoumarin
    ChemicalStructure
        Parameter     ppm  Hz
    D(A) 9.5 D(B) 7.894 D(D) 6.235 J(B,D) 9.4 D(C) 6.800 D(E) 3.894

         Hz     ppm     Int.
    

       2849.98   9.500     25
       2372.97   7.910    246
       2363.62   7.879    255
       2040.00   6.800    384
       1875.17   6.251    255
       1865.82   6.219    246
       1168.17   3.894   1000
    

in DMSO-d6



KBr disc



nujol mull