图谱信息 供应商 相关产品
网站主页CAS数据库列表 578-67-6更多图谱5-羟基喹啉(578-67-6)红外图谱(IR2)

5-羟基喹啉

产品名称 5-羟基喹啉

CAS号578-67-6

分子式C9H7NO

分子量145.16

展开


  • Mass

    MS-NW-7800          
    5-quinolinol
    C9H7NO              (Mass of molecular ion:    145)
    

       Source Temperature: 160 °C
       Sample Temperature: 120 °C
       Direct, 75 eV
    

          18.0       1.1
          28.0       1.0
          37.0       1.3
          38.0       2.4
          39.0       5.1
          45.0       1.0
          50.0       2.9
          51.0       3.4
          52.0       1.2
          53.0       1.3
          58.5       3.1
          61.0       1.4
          62.0       4.0
          63.0       9.4
          64.0       3.6
          65.0       1.3
          72.5       3.2
          74.0       1.7
          75.0       1.5
          76.0       1.2
          77.0       1.0
          78.0       1.7
          87.0       1.2
          88.0       1.6
          89.0      16.1
          90.0      14.6
          91.0       2.1
         115.0       1.0
         116.0       9.7
         117.0      26.3
         118.0       4.2
         144.0       8.6
         145.0     100.0
         146.0      10.6
    

400 MHz in DMSO-d6


  • 1H NMR 399.65 MHz
    C9 H7 N O 0.018 g : 0.5 ml DMSO-d6
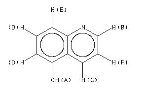
    5-quinolinol
    ChemicalStructure
        Assign.     Shift(ppm)
    A 10.54 B 8.869 C 8.526 D 7.564 E 7.49 F 7.46 G 6.968 J(B,F)=4.2HZ. J(B,C)=1.8HZ. J(D,G)=7.5HZ. J(G,E)=1.1HZ.J(C,F)=8.4HZ.

         Hz     ppm     Int.
    

       4210.63  10.536   1000
       3547.75   8.878    422
       3545.92   8.873    461
       3543.54   8.867    448
       3541.71   8.863    442
       3412.94   8.540    268
       3412.21   8.538    310
       3411.29   8.536    321
       3410.38   8.534    302
       3404.52   8.519    279
       3403.78   8.517    332
       3402.87   8.515    315
       3401.95   8.513    299
       3032.14   7.587    314
       3024.63   7.569    378
       3023.71   7.566    575
       3019.68   7.556     34
       3018.77   7.554     38
       3016.20   7.548    585
       3002.83   7.514     32
       2998.62   7.504    348
       2997.70   7.501    575
       2996.79   7.499    413
       2993.67   7.491     52
       2993.31   7.490     53
       2992.94   7.489     53
       2989.28   7.480    754
       2985.25   7.470    469
       2981.03   7.460    454
       2978.47   7.453     56
       2976.82   7.449    444
       2974.26   7.443     40
       2789.08   6.979    447
       2787.98   6.977    468
       2785.41   6.970     47
       2784.50   6.968     44
       2781.57   6.961    441
       2780.47   6.958    434
    

in DMSO-d6



KBr disc



nujol mull