图谱信息 供应商 相关产品
网站主页CAS数据库列表 5789-24-2更多图谱苯硫代乙内酰脲-色氨酸(5789-24-2)核磁图(13CNMR)

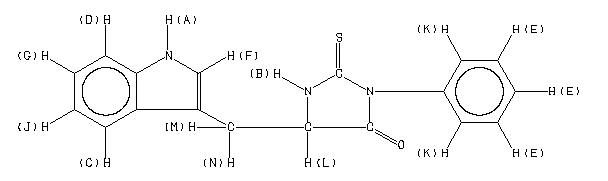
苯硫代乙内酰脲-色氨酸

产品名称 苯硫代乙内酰脲-色氨酸

CAS号5789-24-2

分子式C18H15N3OS

分子量321.4

展开

400 MHz in DMSO-d6


  • 1H NMR 399.65 MHz
    C18 H15 N3 O S 0.034 g : 0.5 ml DMSO-d6
    5-(3-indolyl)methyl-3-phenyl-2-thioxo-4-imidazolidone
    ChemicalStructure
        Assign.     Shift(ppm)
    A *1 11.0 B *1 10.6 C 7.568 D 7.368 E 7.30 F 7.163 G *2 7.087 J *2 6.980 K 6.651 L 4.721 M *3 3.338 N *3 3.230

         Hz     ppm     Int.
    

       4392.88  10.992    300
       4391.78  10.990    303
       4228.21  10.580    477
       3028.84   7.579    352
       3024.81   7.569     50
       3020.97   7.560    380
       2949.35   7.380    417
       2945.50   7.371     53
       2941.10   7.360    487
       2934.88   7.344     30
       2934.51   7.343     30
       2932.31   7.338     31
       2931.58   7.336     34
       2929.56   7.331     51
       2928.83   7.329     47
       2921.51   7.311    993
       2919.49   7.306   1000
       2916.19   7.297    641
       2914.55   7.293    653
       2910.33   7.283    229
       2906.67   7.274     68
       2906.12   7.272     67
       2905.02   7.269     76
       2902.64   7.263     30
       2863.99   7.167    513
       2861.61   7.161    528
       2840.73   7.109    179
       2839.81   7.106    204
       2836.88   7.099     42
       2832.85   7.089    376
       2825.71   7.071    222
       2824.79   7.069    229
       2821.86   7.061     32
       2821.50   7.060     32
       2796.95   6.999    239
       2796.22   6.997    269
       2793.11   6.989     42
       2789.08   6.979    401
       2788.34   6.977    325
       2782.12   6.962    184
       2781.20   6.960    195
       2666.90   6.674     71
       2663.06   6.664    414
       2661.23   6.659    507
       2657.75   6.651    427
       2656.65   6.648    393
       2653.35   6.640    456
       2648.22   6.627     49
       1891.19   4.733    178
       1887.53   4.723    356
       1886.80   4.722    370
       1882.59   4.711    182
       1353.60   3.387     35
       1349.02   3.376     41
       1345.54   3.367    149
       1341.33   3.357    153
       1337.12   3.346     30
       1330.70   3.330    256
       1326.49   3.320    237
       1299.02   3.251    230
       1294.44   3.239    243
       1284.18   3.214    143
       1279.60   3.202    133
    

in DMSO-d6



KBr disc