图谱信息 供应商 相关产品
网站主页CAS数据库列表 57977-73-8更多图谱2',3'-O-ISOPROPYLIDENECYTIDINE HYDROCHLORIDE(57977-73-8)红外图谱(IR2)

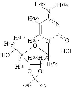
2',3'-O-ISOPROPYLIDENECYTIDINE HYDROCHLORIDE

产品名称 2',3'-O-ISOPROPYLIDENECYTIDINE HYDROCHLORIDE

CAS号57977-73-8

分子式C12H18ClN3O5

分子量319.74

展开


  • Mass

    MS-NW-6948          
    2',3'-O-isopropylidenecytidine hydrochloride
    C12H17N3O5 HCl      (Mass of molecular ion:    283)
    

       Source Temperature: 220 °C
       Sample Temperature: 190 °C
       Direct, 75 eV
    

          15.0       2.8
          17.0       1.2
          18.0       5.3
          26.0       1.3
          27.0       5.1
          28.0       5.7
          29.0       6.6
          31.0       8.7
          36.0       3.3
          38.0       1.2
          39.0       6.5
          40.0       5.1
          41.0      12.7
          42.0       7.9
          43.0      41.7
          44.0       4.5
          45.0       1.8
          52.0       3.2
          53.0       1.6
          54.0       2.3
          55.0       5.4
          56.0       2.6
          57.0      16.3
          58.0       3.8
          59.0      32.5
          60.0       1.8
          66.0       2.0
          67.0       5.4
          68.0      31.1
          69.0      26.6
          70.0       4.0
          71.0       9.1
          72.0       1.1
          73.0       3.3
          79.0       2.2
          81.0       2.0
          82.0       1.1
          83.0       7.5
          84.0       6.8
          85.0      14.7
          86.0       4.0
          87.0       1.0
          89.0       1.2
          93.0       1.2
          94.0       4.1
          95.0       6.5
          96.0       3.5
          97.0       3.0
         100.0       1.0
         101.0       1.4
         109.0       1.2
         110.0       1.8
         111.0      45.3
         112.0     100.0
         113.0       7.7
         114.0       6.6
         115.0       4.9
         122.0       2.9
         123.0       1.6
         125.0       1.3
         126.0       1.9
         129.0       1.3
         135.0       1.5
         136.0       9.8
         137.0       1.6
         138.0       3.1
         140.0       5.8
         142.0       2.1
         150.0       1.1
         151.0       6.6
         152.0       1.3
         154.0       1.1
         157.0       5.1
         166.0       2.5
         168.0       1.3
         169.0       8.6
         173.0       1.1
         178.0       9.2
         179.0       1.0
         180.0       1.9
         194.0      11.7
         195.0       2.0
         196.0       1.1
         208.0       1.0
         225.0       1.3
         252.0       1.1
         268.0       2.1
    

400 MHz in DMSO-d6


  • 1H NMR 399.65 MHz
    C12 H17 N3 O5 0.027 g : 0.5 ml DMSO-d6
    2',3'-O-isopropylidenecytidine hydrochloride
    ChemicalStructure
        Assign.     Shift(ppm)
    A *1 9.98 B *1 8.81 C 8.160 D 6.197 E 5.784 F 4.913 G 4.766 J 4.244 K *1 3.620 L *1 3.566 M *2 1.484 N *2 1.289

         Hz     ppm     Int.
    

       3986.66   9.976    158
       3523.10   8.816    151
       3265.53   8.171    200
       3257.60   8.152    209
       2480.62   6.207    228
       2472.84   6.188    229
       2312.93   5.788    252
       2310.94   5.783    260
       1967.93   4.925    124
       1965.94   4.920    130
       1961.82   4.909    150
       1959.84   4.904    150
       1909.18   4.778    136
       1906.43   4.771    145
       1903.08   4.762    120
       1900.33   4.755    118
       1701.51   4.258     66
       1701.05   4.257     63
       1697.85   4.249    142
       1694.79   4.241    142
       1690.83   4.231     69
       1456.30   3.644     58
       1452.18   3.634     64
       1444.09   3.614    144
       1440.28   3.604    137
       1436.00   3.594     35
       1434.78   3.591     35
       1431.12   3.581    135
       1426.54   3.570    138
       1421.51   3.557     30
       1419.07   3.551     65
       1414.64   3.540     57
        593.26   1.485   1000
        515.29   1.290    961
    

in DMSO-d6



KBr disc



nujol mull



4880 A,200 M,powder



更多供应商