图谱信息 供应商 相关产品
网站主页CAS数据库列表 58-08-2更多图谱咖啡因(58-08-2)红外图谱(IR1)

咖啡因

产品名称 咖啡因

CAS号58-08-2

分子式C8H10N4O2

分子量194.19

展开


  • Mass

    MS2006-03097WA      
    caffeine
    C8H10N4O2           (Mass of molecular ion:    194)
    

       Source Temperature: 250 °C
       Sample Temperature:  20 °C
       Direct, 70 eV
    

          15.0       3.8
          17.0       2.6
          18.0      11.2
          28.0       2.1
          40.0       2.4
          41.0       2.5
          42.0       5.4
          52.0       1.1
          53.0       1.6
          54.0       1.7
          55.0      17.5
          56.0       2.0
          66.0       2.2
          67.0      17.3
          68.0       2.1
          70.0       1.6
          81.0       3.1
          82.0      14.2
          83.0       1.4
          83.5       1.1
          94.0       1.9
          97.0       1.4
         108.0       1.7
         109.0      39.7
         110.0       4.9
         136.0       3.8
         137.0       4.4
         138.0       1.7
         165.0       4.8
         193.0       9.3
         194.0     100.0
         195.0      10.6
         196.0       1.0
    

in CDCl3

90 MHz in CDCl3

90 MHz in D2O




  • 1H NMR 89.56 MHz
    C8 H10 N4 O2 0.046 g : 0.5 ml CDCl3
    caffeine
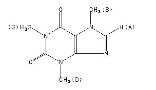
    ChemicalStructure
        Assign.     Shift(ppm)
    A 7.527 B 3.999 C *1 3.574 D *1 3.395 J(A,B)=0.6HZ.

         Hz     ppm     Int.
    

        674.38   7.530    116
        673.81   7.524    113
        358.50   4.003    550
        357.88   3.996    536
        320.19   3.576   1000
        304.13   3.396    988
    


  • 1H NMR 89.56 MHz
    C8 H10 N4 O2 0.028 g : 0.5 ml D2O
    caffeine
    ChemicalStructure
        Assign.     Shift(ppm)
    A 7.884 B 3.877 C *1 3.376 D *1 3.208 J(A,B)=0.6HZ.

         Hz     ppm     Int.
    

        706.38   7.888    202
        705.75   7.881    188
        347.50   3.881    695
        302.44   3.377   1000
        292.00   3.261     25
        287.31   3.209    992
    

in CDCl3



KBr disc



nujol mull



更多供应商