图谱信息 供应商 相关产品
网站主页CAS数据库列表 58-18-4更多图谱甲睾酮(58-18-4)质谱(MS)

甲睾酮

产品名称 甲睾酮

CAS号58-18-4

分子式C20H30O2

分子量302.45

展开


  • Mass

    MS-NW-2476          
    17alpha-methyltestosterone
    C20H30O2            (Mass of molecular ion:    302)
    

       Source Temperature: 210 °C
       Sample Temperature: 210 °C
       Direct, 75 eV
    

          15.0       2.6
          17.0       5.3
          18.0      26.5
          27.0      14.8
          28.0       8.7
          29.0      18.8
          31.0       1.3
          39.0      21.8
          40.0       4.4
          41.0      51.2
          42.0       2.7
          43.0      70.1
          44.0       1.8
          45.0       2.9
          50.0       1.1
          51.0       6.2
          52.0       4.0
          53.0      21.8
          54.0       3.5
          55.0      37.1
          56.0       2.1
          57.0       6.9
          58.0       9.5
          59.0       2.3
          63.0       2.7
          64.0       1.4
          65.0      13.4
          66.0       5.2
          67.0      33.2
          68.0       5.1
          69.0      10.7
          71.0      41.2
          72.0       9.1
          76.0       1.1
          77.0      34.6
          78.0       8.9
          79.0      51.5
          80.0       7.8
          81.0      31.9
          82.0       4.2
          83.0       7.6
          84.0       1.3
          85.0       4.6
          86.0       1.0
          87.0       1.2
          89.0       1.5
          91.0      58.5
          92.0      11.1
          93.0      46.6
          94.0      13.4
          95.0      37.6
          96.0       6.7
          97.0      12.7
          98.0       1.7
          99.0       3.1
         102.0       1.2
         103.0       4.9
         104.0       5.4
         105.0      47.5
         106.0      15.5
         107.0      51.0
         108.0      26.6
         109.0      31.7
         110.0       6.3
         111.0      11.4
         112.0       1.4
         113.0       3.6
         115.0       7.9
         116.0       3.6
         117.0      13.4
         118.0       7.2
         119.0      33.8
         120.0      22.1
         120.5       3.1
         121.0      48.0
         122.0      44.1
         123.0      37.6
         124.0     100.0
         125.0      12.8
         126.0       1.2
         127.0       1.9
         128.0       6.1
         129.0       8.0
         130.0       4.4
         131.0      18.4
         132.0       8.6
         133.0      29.2
         134.0      18.4
         135.0      20.4
         136.0      13.4
         137.0      23.0
         138.0       6.8
         139.0       1.2
         141.0       3.9
         142.0       3.0
         143.0      10.2
         144.0       6.0
         145.0      28.6
         146.0      11.6
         147.0      33.5
         148.0      24.7
         149.0      26.5
         150.0       6.3
         151.0       3.2
         152.0       1.3
         153.0       1.4
         154.0       1.1
         155.0       4.0
         156.0       5.0
         157.0      10.0
         158.0      13.2
         159.0      20.5
         160.0      25.0
         161.0      47.0
         162.0      14.5
         163.0      14.2
         164.0       2.5
         165.0       3.7
         166.0       1.8
         167.0       1.4
         168.0       1.0
         169.0       3.4
         170.0       3.0
         171.0       9.8
         172.0       5.5
         173.0      13.3
         174.0      11.1
         175.0      11.2
         176.0       6.9
         177.0       4.4
         178.0       4.0
         179.0      15.2
         180.0       2.7
         181.0       2.0
         183.0       2.8
         184.0       3.1
         185.0       7.9
         186.0       4.8
         187.0      14.2
         188.0       5.2
         189.0      10.7
         190.0       4.0
         191.0       1.1
         195.0       2.3
         197.0       2.4
         198.0       3.0
         199.0      11.6
         200.0       6.8
         201.0       6.4
         202.0      20.1
         203.0       6.0
         204.0       2.3
         209.0       2.3
         210.0       1.4
         211.0       5.9
         212.0       1.9
         213.0       8.5
         214.0       3.2
         215.0       3.2
         216.0       2.4
         217.0       7.3
         218.0       1.5
         223.0       1.0
         224.0       1.1
         225.0       2.0
         226.0       4.4
         227.0      10.7
         228.0       5.2
         229.0      20.0
         230.0       4.3
         231.0       5.2
         232.0       6.1
         233.0       1.2
         240.0       4.9
         241.0       4.6
         242.0      11.0
         243.0       2.8
         244.0       6.2
         245.0      16.5
         246.0       3.3
         251.0       4.0
         256.0       1.4
         260.0       5.6
         261.0       1.2
         266.0       7.0
         267.0       3.2
         269.0      29.2
         270.0       6.3
         282.0       1.5
         284.0      17.4
         285.0       4.0
         287.0       3.9
         302.0      38.6
         303.0       8.8
    

400 MHz in CDCl3


  • 1H NMR 399.65 MHz
    C20 H30 O2 0.051 g : 0.5 ml CDCl3
    17alpha-methyltestosterone
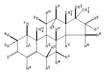
    ChemicalStructure
        Assign.     Shift(ppm)
    A 5.732 B 2.427 C 2.396 D 2.348 E 2.280 F 2.038 G 1.859 J 1.842 K 1.758 L 1.702 M 1.621 N 1.612 O 1.609 P 1.551 Q 1.447 R 1.314 S 1.303 T 1.217 U 1.206 V 1.201 W 1.011 X 0.920 Y 0.909 Z 1.6 assigned by 600MHz spectrum and C-H and H-H COSY,NOESY and LAOCN program. K.HAYAMIZU ET AL,MAGN.RESON.CHEM.,28,250 (1990).

         Hz     ppm     Int.
    

       2292.11   5.736    167
       2291.14   5.733    172
       2290.41   5.732    170
        975.22   2.441     52
        972.66   2.434     84
        971.19   2.431     48
        970.34   2.428     54
        969.36   2.426     45
        967.65   2.422     84
        961.91   2.407     56
        960.08   2.403     60
        958.37   2.399    112
        956.67   2.394     65
        954.71   2.389     66
        953.37   2.386     95
        948.24   2.373     92
        946.04   2.368     96
        945.07   2.365     83
        944.09   2.363     87
        943.24   2.361     94
        940.92   2.355     95
        921.39   2.306     57
        919.07   2.300     66
        917.24   2.296     67
        914.67   2.289     59
        825.32   2.066     54
        822.02   2.057     62
        820.31   2.053     57
        817.14   2.045     50
        811.89   2.032     63
        808.72   2.024     68
        806.88   2.019     59
        803.71   2.012     47
        755.62   1.891     49
        752.20   1.883     61
        750.37   1.878     55
        750.12   1.877     55
        747.68   1.871     44
        746.83   1.869     45
        744.26   1.863     63
        742.80   1.859     70
        740.36   1.853     86
        739.50   1.851     83
        737.55   1.846     85
        731.32   1.830     44
        730.10   1.827     51
        726.20   1.818     45
        713.13   1.785     58
        707.03   1.770     70
        703.74   1.761     86
        699.22   1.750     48
        697.51   1.746     92
        694.82   1.739     52
        693.12   1.735     51
        689.82   1.727     89
        683.59   1.711     63
        681.03   1.705     73
        676.15   1.692     71
        667.11   1.670     51
        662.23   1.658     71
        658.81   1.649     78
        655.15   1.640     79
        651.49   1.631    133
        647.95   1.622    114
        647.22   1.620    114
        642.58   1.608     99
        639.65   1.601    126
        638.55   1.598    128
        637.45   1.596    123
        634.40   1.588     75
        632.45   1.583     84
        629.15   1.575     98
        626.22   1.567     80
        620.48   1.553     60
        616.94   1.544     70
        614.01   1.537     55
        586.67   1.468     59
        583.01   1.459     47
        573.97   1.437     60
        570.43   1.428     52
        534.18   1.337    106
        528.08   1.322     87
        522.09   1.307    121
        515.99   1.292     99
        510.13   1.277     53
        504.15   1.262     61
        493.16   1.234    103
        486.21   1.217    854
        482.06   1.207   1000
        475.46   1.190     74
        474.00   1.187     59
        470.58   1.178     44
        380.74   0.953     56
        376.59   0.943     59
        368.77   0.923     87
        363.28   0.909    976
        357.91   0.896     55
        353.52   0.885     44
    

in CDCl3



KBr disc



nujol mull