图谱信息 供应商 相关产品
网站主页CAS数据库列表 58-33-3更多图谱盐酸异丙嗪(58-33-3)Raman光谱

盐酸异丙嗪

产品名称 盐酸异丙嗪

CAS号58-33-3

分子式C17H21ClN2S

分子量320.88

展开


  • Mass

    MS-IW-3280          
    10-(2-(dimethylamino)propyl)phenothiazine hydrochloride
    C17H20N2S HCl       (Mass of molecular ion:    284)
    

       Source Temperature: 150 °C
       Sample Temperature: 100 °C
       Direct, 75 eV
    

          36.0       3.0
          38.0       1.0
          42.0       1.4
          44.0       1.7
          56.0       1.2
          70.0       1.3
          71.0       1.0
          72.0     100.0
          73.0       5.6
         180.0       2.3
         198.0       3.1
         212.0       1.2
         213.0       3.5
         284.0       8.2
         285.0       1.6
    

400 MHz in CDCl3


  • 1H NMR 399.65 MHz
    C17 H20 N2 S 0.042 g : 0.5 ml CDCl3
    10-(2-(dimethylamino)propyl)phenothiazine hydrochloride
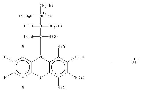
    ChemicalStructure
        Assign.     Shift(ppm)
    A 12.6 B 7.23 C 7.21 D 7.095 E 7.001 F *1 4.720 G *1 3.934 J 3.705 K 2.779 L 1.495 J(F,G)=14.1HZ J(F,J)=5.7HZ J(G,J)=7.3HZ

         Hz     ppm     Int.
    

       2901.17   7.260    205
       2899.71   7.256    268
       2893.85   7.241    305
       2893.11   7.240    362
       2892.38   7.238    424
       2891.65   7.236    447
       2886.70   7.224    589
       2885.60   7.221    618
       2884.32   7.218    509
       2879.01   7.204    679
       2877.73   7.201    479
       2839.45   7.105    456
       2838.71   7.103    486
       2831.39   7.085    377
       2830.66   7.083    370
       2805.74   7.021    370
       2804.65   7.018    361
       2801.53   7.010     32
       2800.98   7.009     34
       2798.23   7.002    533
       2797.32   7.000    493
       2792.56   6.988     30
       2790.72   6.983    290
       2789.63   6.981    268
       1896.87   4.747    115
       1891.19   4.733    124
       1882.77   4.712    129
       1877.09   4.697    131
       1583.29   3.962    126
       1575.96   3.944    150
       1569.19   3.927    121
       1561.86   3.909    141
       1490.43   3.730     71
       1483.65   3.713    116
       1477.79   3.698    114
       1471.01   3.681     66
       1110.72   2.780    800
        601.15   1.505   1000
        594.38   1.488    987
    

in CDCl3



KBr disc



nujol mull