-
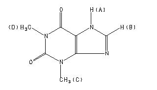
MS-NW-0466 1,3-dimethyl-3,7-dihydro-1H-purine-2,6-dione C7H8N4O2 (Mass of molecular ion: 180)
Source Temperature: 200 °C Sample Temperature: 140 °C Direct, 75 eV
15.0 3.2 18.0 2.5 27.0 1.1 28.0 5.3 29.0 1.0 38.0 1.0 39.0 1.6 40.0 4.8 41.0 16.4 42.0 5.5 43.0 2.4 53.0 11.4 54.0 1.5 55.0 2.7 56.0 2.2 57.0 2.4 58.0 1.2 60.0 1.1 66.0 1.4 67.0 5.4 68.0 31.7 69.0 5.4 70.0 1.4 71.0 1.2 73.0 1.1 81.0 2.7 82.0 1.3 83.0 1.7 94.0 4.5 95.0 50.9 96.0 8.8 97.0 1.8 98.0 1.1 122.0 4.4 123.0 10.0 124.0 3.3 136.0 1.1 151.0 6.1 152.0 1.9 179.0 1.0 180.0 100.0 181.0 9.2
90 MHz in DMSO-d6
更多供应商







