图谱信息 供应商 相关产品
网站主页CAS数据库列表 58-56-0更多图谱吡哆醇盐酸盐(58-56-0)红外图谱(IR2)

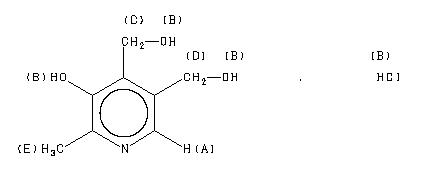
吡哆醇盐酸盐

产品名称 吡哆醇盐酸盐

CAS号58-56-0

分子式C8H11NO3.ClH

分子量205.64

展开


  • Mass

    MS-NW-9241          
    pyridoxine hydrochloride
    C8H11NO3 HCl        (Mass of molecular ion:    169)
    

       Source Temperature: 200 °C
       Sample Temperature: 140 °C
       Direct, 75 eV
    

          17.0       1.4
          18.0       7.5
          26.0       1.2
          27.0       7.3
          28.0       6.0
          29.0       3.5
          31.0       4.6
          35.0       4.4
          36.0      40.1
          37.0       1.7
          38.0      13.4
          39.0      19.2
          40.0       2.4
          41.0       5.6
          42.0      12.1
          43.0       4.7
          50.0       2.7
          51.0       9.8
          52.0       6.5
          53.0      14.3
          54.0      12.2
          55.0       5.6
          63.0       2.2
          64.0       1.9
          65.0       6.1
          66.0       4.2
          67.0       9.2
          68.0       2.6
          69.0       1.9
          77.0       4.6
          78.0       3.5
          79.0       4.0
          80.0      11.7
          81.0      18.2
          82.0      13.1
          83.0       1.4
          92.0       4.8
          93.0       4.7
          94.0      92.1
          95.0      10.1
          96.0       1.2
         104.0       1.6
         105.0       5.8
         106.0      82.5
         107.0      18.2
         108.0       9.0
         109.0       1.7
         110.0       2.5
         120.0       4.3
         121.0       1.9
         122.0      28.9
         123.0      10.3
         124.0       2.2
         133.0      11.2
         134.0       2.5
         135.0       1.3
         136.0      15.3
         137.0       1.5
         138.0       2.8
         149.0       1.7
         150.0      10.6
         151.0     100.0
         152.0      12.4
         153.0       3.1
         169.0      77.6
         170.0      11.5
         171.0       1.2
    

400 MHz in DMSO-d6


  • 1H NMR 399.65 MHz
    C8 H11 N O3 0.045 g : 0.5 ml DMSO-d6
    pyridoxine hydrochloride
    ChemicalStructure
        Assign.     Shift(ppm)
    A 8.122 B 6. C 4.794 D 4.723 E 2.617

         Hz     ppm     Int.
    

       3245.97   8.123    326
       1915.89   4.794    701
       1887.70   4.724    514
       1046.02   2.618   1000
    

in D2O



KBr disc



nujol mull