图谱信息 供应商 相关产品
网站主页CAS数据库列表 58-63-9更多图谱肌苷(58-63-9)核磁图(1HNMR)

肌苷

产品名称 肌苷

CAS号58-63-9

分子式C10H12N4O5

分子量268.23

展开


  • Mass

    MS-NW-2579          
    inosine
    C10H12N4O5          (Mass of molecular ion:    268)
    

       Source Temperature: 230 °C
       Sample Temperature: 190 °C
       Direct, 75 eV
    

          15.0       1.9
          17.0       1.2
          18.0       6.1
          19.0       2.4
          27.0       6.2
          28.0      37.8
          29.0       8.1
          30.0       1.0
          31.0       5.0
          38.0       3.7
          39.0       4.8
          40.0       1.5
          41.0       2.4
          42.0       2.4
          43.0       8.1
          44.0       4.5
          45.0       3.6
          47.0       1.1
          53.0      11.1
          54.0      33.1
          55.0       6.5
          56.0       1.9
          57.0      13.5
          58.0       1.5
          60.0       4.7
          61.0       2.1
          65.0       1.3
          66.0       3.3
          67.0       1.3
          68.0       2.7
          69.0       2.4
          70.0       1.8
          71.0       3.8
          72.0       1.6
          73.0       7.7
          74.0       1.1
          80.0       3.2
          81.0      11.0
          82.0       4.4
          85.0       2.0
          86.0       2.0
          97.0       1.5
         108.0       5.5
         109.0       5.7
         115.0       1.3
         133.0       1.0
         135.0       5.6
         136.0     100.0
         137.0       8.0
    

400 MHz in DMSO-d6


  • 1H NMR 399.65 MHz
    C10 H12 N4 O5 0.039 g : 0.5 ml DMSO-d6
    inosine
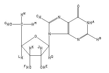
    ChemicalStructure
        Assign.     Shift(ppm)
    A 12.44 B *1 8.375 C *1 8.114 D 5.901 E 5.54 F 5.25 G 5.12 J 4.516 K 4.160 L 3.971 M *2 3.680 N *2 3.583 ASSIGNED BY H-H AND C-H COSY. J(D,J)=5.7HZ J(E,J)=4.4HZ J(F,K)=3.1HZ J(G,M)=J(G,N)=5.3HZ

         Hz     ppm     Int.
    

       4970.95  12.439     52
       3347.18   8.376   1000
       3242.78   8.115    931
       2361.38   5.909    408
       2355.70   5.895    418
       2099.82   5.255    106
       2099.09   5.253    106
       2098.36   5.251    106
       2097.99   5.250    106
       2097.62   5.249    106
       2097.07   5.248    106
       2052.56   5.136     93
       2047.25   5.123    171
       2041.94   5.110     94
       1806.94   4.522    126
       1803.09   4.512    127
       1662.79   4.161    152
       1592.82   3.986     91
       1588.97   3.976    265
       1585.31   3.967    259
       1581.46   3.958     92
       1482.55   3.710     47
       1478.15   3.699     79
       1473.76   3.688     59
       1470.46   3.680     91
       1466.25   3.669    136
       1462.03   3.659     78
       1441.70   3.608     77
       1436.57   3.595    114
       1432.18   3.584     89
       1430.16   3.579     68
       1427.78   3.573     43
       1425.40   3.567     68
       1424.49   3.565     70
       1420.27   3.554     47
    

in DMSO-d6

in D2O





KBr disc



nujol mull