400 MHz in D2O
400 MHz in DMSO-d6
-
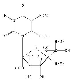
1H NMR 399.65 MHz C9 H12 N2 O6 0.038 g : 0.5 ml D2O uridine 
Assign. Shift(ppm)
A 7.892 B 5.915 C 5.900 D 4.356 E 4.241 F 4.143 G *1 3.925 J *1 3.824 THE SOLVENT PEAK SUPPRESSED. J(A,C)=8.0 HZ J(B,D)=5.3 HZ
Hz ppm Int.3158.08 7.903 553 3152.34 7.888 30 3150.02 7.882 569 2366.70 5.922 499 2362.18 5.911 1000 2354.00 5.891 481 1746.46 4.370 238 1741.21 4.357 395 1736.57 4.346 290 1700.44 4.255 257 1694.95 4.242 493 1689.58 4.228 271 1661.99 4.159 135 1659.06 4.152 180 1657.71 4.148 227 1654.79 4.141 201 1653.69 4.138 198 1652.34 4.135 180 1649.29 4.127 124 1578.25 3.950 182 1575.32 3.942 185 1565.43 3.918 321 1562.50 3.910 308 1535.40 3.842 306 1531.01 3.831 294 1522.58 3.810 189 1518.31 3.800 174
-
1H NMR 399.65 MHz C9 H12 N2 O6 0.039 g : 0.5 ml DMSO-d6 uridine 
Assign. Shift(ppm)
A 11.3 B 7.896 C 5.789 D 5.658 E 5.40 F 5.10 G 4.033 J 3.972 K 3.850 L *1 3.629 M *1 3.560 ASSIGNED BY H-H COSY. J(B,D) = 8.1 HZ J(C,G) = 5.5 HZ
Hz ppm Int.4524.58 11.322 143 3159.99 7.907 971 3151.93 7.887 1000 2316.69 5.797 873 2311.19 5.784 879 2265.22 5.669 961 2257.16 5.648 954 2156.97 5.398 280 2153.85 5.390 247 2152.02 5.385 282 2151.66 5.384 282 2040.84 5.107 559 2036.26 5.096 415 1614.43 4.040 315 1609.67 4.028 345 1604.90 4.016 177 1590.62 3.981 291 1587.50 3.973 383 1583.29 3.962 231 1544.28 3.865 224 1541.16 3.857 583 1537.50 3.848 559 1534.20 3.839 211 1449.21 3.627 227 1448.30 3.624 219 1445.73 3.618 316 1445.37 3.617 317 1442.07 3.609 203 1430.16 3.579 213 1426.87 3.571 327 1423.57 3.563 216 1423.20 3.562 218
更多供应商







