图谱信息 供应商 相关产品
网站主页CAS数据库列表 5805-76-5更多图谱N-乙基-2-甲基苯并咪唑(5805-76-5)质谱(MS)

N-乙基-2-甲基苯并咪唑

产品名称 N-乙基-2-甲基苯并咪唑

CAS号5805-76-5

分子式C10H12N2

分子量160.22


  • Mass

    MS-NW-8644          
    1-ethyl-2-methylbenzimidazole
    C10H12N2            (Mass of molecular ion:    160)
    

       Source Temperature: 260 °C
       Sample Temperature: 130 °C
       Reservoir, 75 eV
    

          18.0       2.7
          27.0       5.1
          28.0       2.8
          29.0       2.7
          38.0       2.2
          39.0       5.5
          41.0       2.0
          42.0       3.1
          50.0       4.3
          51.0       8.9
          52.0       3.5
          58.5       2.4
          62.0       1.9
          63.0       7.6
          64.0       6.4
          65.0       5.4
          72.0       4.6
          72.5       1.0
          74.0       1.3
          75.0       3.0
          76.0       4.7
          77.0      18.4
          78.0       3.4
          80.0       3.2
          89.0       2.1
          90.0       7.3
          91.0       6.7
          92.0      14.8
          93.0       1.2
         102.0       1.9
         103.0       1.4
         104.0       3.2
         105.0       1.2
         116.0       1.0
         117.0       3.2
         118.0       4.6
         119.0       2.9
         128.0       1.2
         129.0       1.2
         131.0       7.7
         132.0       4.2
         145.0     100.0
         146.0      10.8
         159.0       4.0
         160.0      64.9
         161.0       8.0
    

400 MHz in CDCl3


  • 1H NMR 399.65 MHz
    C10 H12 N2 0.04 ml : 0.5 ml CDCl3
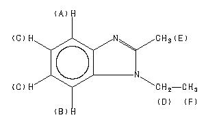
    1-ethyl-2-methylbenzimidazole
    ChemicalStructure
        Assign.     Shift(ppm)
    A 7.678 B 7.22 C 7.19 D 4.008 E 2.513 F 1.298

         Hz     ppm     Int.
    

       3073.61   7.691     76
       3072.75   7.689     87
       3070.19   7.683     78
       3069.46   7.681     73
       3068.60   7.679     74
       3066.16   7.673     71
       3064.58   7.669     82
       3063.72   7.667     89
       2892.33   7.238     44
       2891.48   7.236     46
       2889.28   7.230     52
       2887.45   7.225     56
       2885.99   7.222    111
       2882.81   7.214    158
       2881.96   7.212    156
       2880.37   7.208     67
       2878.91   7.204     76
       2877.56   7.201    242
       2876.83   7.199    223
       2874.51   7.193    109
       2873.54   7.191    183
       2871.95   7.187    171
       2870.36   7.183     84
       2867.92   7.177    179
       1612.92   4.036    103
       1605.59   4.018    300
       1598.27   4.000    298
       1590.94   3.981    100
       1007.81   2.522     61
       1004.64   2.514   1000
        526.25   1.317    317
        518.92   1.299    578
        511.60   1.281    306
    

in CDCl3



liquid film