图谱信息 供应商 相关产品
网站主页CAS数据库列表 5809-23-4更多图谱4-二乙氨基酮酸(5809-23-4)红外图谱(IR1)

4-二乙氨基酮酸

产品名称 4-二乙氨基酮酸

CAS号5809-23-4

分子式C18H19NO4

分子量313.35

展开


  • Mass

    MS-IW-3627          
    O-(4-diethylamino-2-hydroxybenzoyl)benzoic acid
    C18H19NO4           (Mass of molecular ion:    313)
    

       Source Temperature: 140 °C
       Sample Temperature: 110 °C
       Direct, 75 eV
    

          18.0       1.0
          29.0       1.9
          39.0       1.3
          53.0       1.1
          65.0       4.3
          77.0       2.2
          92.0       1.2
          93.0       2.9
         104.0       1.2
         105.0       1.8
         121.0       2.0
         122.0       2.3
         126.0       1.4
         133.5       2.6
         136.0       1.0
         139.0       3.3
         139.5       1.1
         140.0       1.8
         148.0       2.9
         149.0       8.8
         150.0       3.7
         156.5       2.0
         162.0       1.0
         164.0       1.0
         167.0       1.6
         168.0       1.4
         192.0       2.6
         195.0       2.1
         196.0       1.7
         210.0       1.0
         223.0       3.6
         224.0       3.2
         250.0       1.0
         252.0       5.5
         253.0       1.0
         268.0       3.8
         280.0      12.0
         281.0       2.4
         298.0     100.0
         299.0      19.4
         300.0       2.6
         312.0       2.5
         313.0      50.5
         314.0      10.4
         315.0       1.4
    

400 MHz in DMSO-d6


  • 1H NMR 399.65 MHz
    C18 H19 N O4 0.047 g : 0.5 ml DMSO-d6
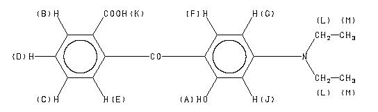
    o-(4-diethylamino-2-hydroxybenzoyl)benzoic acid
    ChemicalStructure
        Assign.     Shift(ppm)
    A *1 12.61 B 7.983 C *2 7.685 D *2 7.617 E 7.386 F 6.811 G 6.183 J 6.089 K *1 3.6 L 3.379 M 1.097

         Hz     ppm     Int.
    

       5038.36  12.607    414
       3195.16   7.995    136
       3194.06   7.993    142
       3187.46   7.976    155
       3186.36   7.973    153
       3080.86   7.709     57
       3079.58   7.706     63
       3073.35   7.691    150
       3072.25   7.688    152
       3066.02   7.672    112
       3064.74   7.669    107
       3051.55   7.636    101
       3050.45   7.633    112
       3044.04   7.617    144
       3042.76   7.614    152
       3036.53   7.598     63
       3035.25   7.595     61
       2955.94   7.397    154
       2954.84   7.394    159
       2948.43   7.378    141
       2947.33   7.375    135
       2726.80   6.823    236
       2717.82   6.801    263
       2477.14   6.199    112
       2474.76   6.193    122
       2467.99   6.176    105
       2465.42   6.169    118
       2434.83   6.093    240
       2432.45   6.087    215
       1368.62   3.425     31
       1368.25   3.424     31
       1361.11   3.406    140
       1354.15   3.389    381
       1347.19   3.371    383
       1340.05   3.354    139
        452.79   1.133     30
        445.46   1.115    476
        438.50   1.098   1000
        431.54   1.080    446
    

in DMSO-d6



KBr disc



nujol mull