图谱信息 供应商 相关产品
网站主页CAS数据库列表 582-17-2更多图谱2,7-二羟基萘(582-17-2)红外图谱(IR1)

2,7-二羟基萘

产品名称 2,7-二羟基萘

CAS号582-17-2

分子式C10H8O2

分子量160.17

展开


  • Mass

    MS-NW-0127          
    2,7-naphthalenediol
    C10H8O2             (Mass of molecular ion:    160)
    

       Source Temperature: 180 °C
       Sample Temperature:   0 °C
       Direct, 75 eV
    

          28.0       1.3
          39.0       1.6
          50.0       2.0
          51.0       5.1
          52.0       1.1
          62.0       1.6
          63.0       2.7
          65.5       1.4
          74.0       1.6
          75.0       1.8
          76.0       1.8
          77.0       9.0
          78.0       1.6
          80.0       4.6
         102.0       4.1
         103.0       7.7
         104.0       2.6
         115.0       2.4
         131.0      28.4
         132.0       6.9
         159.0       1.5
         160.0     100.0
         161.0      11.0
    

400 MHz in DMSO-d6


  • 1H NMR 399.65 MHz
    C10 H8 O2 0.036 g : 0.5 ml DMSO-d6
    2,7-naphthalenediol
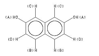
    ChemicalStructure
        Assign.     Shift(ppm)
    A 9.54 B 7.594 C 6.927 D 6.854

         Hz     ppm     Int.
    

       3814.85   9.546   1000
       3039.55   7.606    468
       3030.85   7.584    496
       2769.78   6.931    530
       2767.79   6.926    615
       2744.60   6.868    365
       2742.31   6.862    340
       2735.75   6.846    340
       2733.61   6.841    334
    

KBr disc



nujol mull